Judgment and Decision Making, vol. 6, no. 6, August 2011, pp. 439-519
Using the ACT-R architecture to specify 39 quantitative process models of decision makingJulian N. Marewski* Katja Mehlhorn# |
Hypotheses about decision processes are often formulated qualitatively and remain silent about the interplay of decision, memorial, and other cognitive processes. At the same time, existing decision models are specified at varying levels of detail, making it difficult to compare them. We provide a methodological primer on how detailed cognitive architectures such as ACT-R allow remedying these problems. To make our point, we address a controversy, namely, whether noncompensatory or compensatory processes better describe how people make decisions from the accessibility of memories. We specify 39 models of accessibility-based decision processes in ACT-R, including the noncompensatory recognition heuristic and various other popular noncompensatory and compensatory decision models. Additionally, to illustrate how such models can be tested, we conduct a model comparison, fitting the models to one experiment and letting them generalize to another. Behavioral data are best accounted for by race models. These race models embody the noncompensatory recognition heuristic and compensatory models as a race between competing processes, dissolving the dichotomy between existing decision models.
Keywords: ACT-R, noncompensatory and compensatory models, recognition
heuristic, race models, cognitive architectures.
Even if the mind has parts, modules, components, or whatever, they all mesh together to produce behavior. ... If a theory covers only one part or component, it flirts with trouble from the start. (A. Newell, 1990, p. 17)
One way to increase the precision of theories of decision making is to specify the cognitive processes decision-making mechanisms are assumed to draw on. Corresponding process models predict not only what decision a person will make, but also how the information used to make the decision will be processed. The past decades have seen repeated calls to develop process models, and in fact, such models have become increasingly popular (e.g., Brandstätter, Gigerenzer, & Hertwig, 2006; Einhorn, Kleinmutz, & Kleinmutz, 1979; Ford, Schmitt, Schechtman, Hults, & Doherty, 1989; Gigerenzer & Goldstein, 1996; Gigerenzer, Hoffrage, & Kleinbölting, 1991; Marewski, Gaissmaier, Gigerenzer, 2010a, 2010b; Payne, Bettman, & Johnson, 1988, 1993; Schulte-Mecklenbeck, Kühberger, & Ranyard, 2010). The predictions made by these models have motivated a number of debates; for example, whether people rely on noncompensatory, lexicographic as opposed to compensatory, weighted-additive processes in inference, choice, and estimation (e.g., Bergert & Nosofsky, 2007; Bröder & Schiffer, 2003, 2006; Cokely & Kelley, 2009; von Helversen & Rieskamp, 2008; Johnson, Schulte-Mecklenbeck, & Willemsen, 2008; Lee & Cummins, 2004; Marewski, 2010; Mata, Schooler, & Rieskamp, 2007; B.R. Newell, Weston, & Shanks, 2003; Nosofsky & Bergert, 2007; Rieskamp & Hoffrage, 1999, 2008; Rieskamp & Otto, 2006).
Yet, often such process models are underspecified relative to the process data against which they can be tested. In this article, we show how precision can be lent to process models by implementing them in a cognitive architecture. We will make our point by focusing on a class of models that assume people to make decisions by exploiting the accessibility (e.g., Bruner, 1957; Higgins, 1996; Kahneman, 2003) of memory contents. These models have been at the focus of a debate about what processes describe people’s decisions best when they make inferences about unknown states of the world; such as when predicting which sports teams are likely to win a competition, which politician will win an election, or which cities are likely to grow fastest in the number of inhabitants.
Numerous accessibility-based decision models have been proposed, featuring concepts such as familiarity, fluency, availability, or recognition (e.g., Dougherty, Gettys, & Ogden, 1999; Jacoby & Dallas, 1981; Koriat, 1993; Pleskac, 2007; Tversky & Kahneman, 1973). One such model is the recognition heuristic (Goldstein & Gigerenzer, 2002). As suggested by its name, this simple decision strategy operates on our ability to discriminate between recognized alternatives that we have encountered in our environment before, and unrecognized ones that we do not remember to have seen or heard of before. In doing so, the heuristic can help us to infer which of two alternatives (e.g., two cities, York and Stockport), one recognized and the other not, has the larger value on an unknown criterion (e.g., city size). The heuristic reads as follows: If only one of two alternatives is recognized, infer the recognized one to be larger.
The recognition heuristic is a noncompensatory model for memory-based decisions: Even if further knowledge beyond recognizing an alternative is retrieved, this knowledge is ignored when the heuristic is used. Instead, the decision is based solely on recognition. In contrast to the recognition heuristic and related accessibility-based heuristics (e.g., Schooler & Hertwig, 2005), many other decision models posit that people evaluate alternatives by using knowledge about their attributes as cues (Bröder & Schiffer, 2003, Hauser & Wernerfelt, 1990; Lee & Cummins, 2004; Payne et al., 1993). For instance, to infer which of two cities is larger, a person could rely on one of the classic compensatory unit-weight linear integration strategies (e.g., Dawes, 1979): The person could recall whether the cities have industry sites, airports, or famous soccer teams. For each city, the person could count the number of positive and negative cues (e.g., having an airport would be a positive cue and lacking one a negative cue) and then infer the city with the larger sum to be larger (Einhorn & Hogarth, 1975; Gigerenzer & Goldstein, 1996; Huber, 1989). The assumption in such compensatory models is that an alternative’s value on one cue is traded off against its value on another cue.
The recognition heuristic has triggered a debate about what processes describe people’s decisions best when they make inferences from the accessibility of memories: Do people rely on this noncompensatory heuristic, ignoring further knowledge, or do they use compensatory strategies instead? (Bröder & Eichler, 2006; Davis-Stober, Dana, & Budescu, 2010; Dougherty, Franco-Watkins, & Thomas, 2008; Erdfelder, Küpper-Tetzel, & Mattern, 2011; Gaissmaier & Marewski, 2011; Gigerenzer & Brighton, 2009; Gigerenzer & Goldstein, 2011; Gigerenzer, Hoffrage, & Goldstein, 2008; Glöckner & Bröder, 2011; Goldstein & Gigerenzer, 2011; Hertwig, Herzog, Schooler, & Reimer, 2008; Hilbig, Erdfelder, & Pohl, 2010; Hilbig & Pohl, 2009; Hochman, Ayal, & Glöckner, in 2010; Hoffrage, 2011; Marewski, Gaissmaier, Schooler, Goldstein, & Gigerenzer, 2009, 2010; Marewski, Pohl, & Vitouch, 2010, 2011a, 2011b; McCloy, Beaman, & Smith, 2008; B. R. Newell & Fernandez, 2006; B. R. Newell & Shanks, 2004; Oeusoonthornwattana & Shanks, 2010; Oppenheimer, 2003; Pachur, 2010, 2011; Pachur & Biele, 2007; Pachur & Hertwig, 2006; Pachur, Mata, & Schooler, 2009; Pachur, Todd, Gigerenzer, Schooler, & Goldstein, 2011; Pohl, 2006; 2011; Reimer & Katsikopoulos, 2004; Richter & Späth, 2006; Scheibehenne & Bröder, 2007; Volz et al., 2006).
In this debate, many researchers have used the memory paradigm shown in Figure 1. The time it takes a person to make the decision—the decision time measured from stimulus onset until the person presses a key—is used to test hypotheses about the processes underlying the decision (e.g., Hertwig et al., 2008; Hilbig & Pohl, 2009; Marewski, Gaissmaier, Schooler, et al., 2010; Richter & Späth, 2006; Volz et al., 2006). For instance, Pachur and Hertwig (2006) hypothesized that recognition memory would be more easily assessed than memories about cues, enabling people to make decisions based on the recognition heuristic faster than decisions based on cues.
Figure 1: The memory paradigm. In a two-alternative forced-choice task, on a computer screen a person is first shown a fixation cross, and thereafter presented with the names of two alternatives (e.g., two city names). The person’s task is to infer which of the two has a larger value on the criterion (e.g., which of two cities is larger). To make this decision, the person has to retrieve all information she wants to use from memory. For instance, the person may believe to recognize a city’s name and additionally remember that the city has an industrial site, suggesting that it is a large city. Once a person has made her decision, she presses a key to respond. Gigerenzer and Goldstein (1996) referred to such experimental paradigms as inferences from memory. ![]()
Importantly, although tests of such process hypotheses are central to the debate about the recognition heuristic, thus far the hypotheses put forward in this debate lack precision. First, in the memory paradigm, in no study were decision times actually quantitatively predicted. Rather, mostly qualitative (e.g., ordinal) decision time hypotheses were tested. Second, in no study these hypotheses took into account the interplay among perceptual, memory, decision, intentional, and motor processes governing decision times in the memory paradigm (but see Marewski, 2008; Marewski & Schooler, 2011). In a recent test of process hypotheses with the memory paradigm, Hilbig and Pohl (2009), for example, derived qualitative decision time hypotheses for the recognition heuristic and compared them against corresponding hypotheses they derived from evidence accumulation processes, as they have been outlined by B. R. Newell (2005) and others (e.g., Lee & Cummins, 2004). Broadly speaking, the assumption of such evidence accumulation processes is that evidence (e.g., cues and other information) for each of two alternatives is accumulated sequentially until a decision threshold is reached (e.g., C cues are retrieved) and a decision made (e.g., in favor of the alternative with most accumulated evidence). In testing their hypotheses, Hilbig and Pohl subsumed a number of models under this broad notion of evidence accumulation, including a connectionist parallel constraint satisfaction model (Glöckner & Betsch, 2008), and decision field theory (Busemeyer & Townsend, 1993). According to them, their decision time data could be accounted for by compensatory evidence accumulation models but were inconsistent with the recognition heuristic. However, Hilbig and Pohl did not actually specify a single evidence accumulation model, and correspondingly, they also did not apply any model to their data. This is problematic, as different evidence accumulation models will make different predictions, depending on the specific model and its parameter values. Moreover, the recognition heuristic on its own does not make predictions about decision times in the memory paradigm (see also Gigerenzer & Goldstein, 2011, for a discussion).
In the memory paradigm, decision times are subject, at least, to the following: the time it takes to read alternatives’ names, the time it takes to judge alternatives as recognized or unrecognized, the time it takes to retrieve cues about the alternatives, the time it takes to make a decision as to which alternative to pick, and the time it takes to press a key. In addition a person’s intentions (e.g., to respond as quickly as possible) can affect decision times. As a result, decision time predictions warrant not only a model of decision making, but also models of how decision processes interplay with other processes. The recognition heuristic, as formulated by Goldstein and Gigerenzer (2002), remains silent about this interplay; and so do, in fact, most other accessibility-based models of decision making that have been tested in the memory paradigm, including the evidence accumulation and parallel constraint satisfaction models Hilbig and Pohl (2009) focused on.1
In this article, we will model the respective contributions of perceptual, memory, decision, intentional, and motor processes by quantitatively specifying a number of the process hypotheses that have been formulated in the literature in a cognitive architecture. A cognitive architecture is a quantitative theory that applies to a broad array of behaviors and tasks, formally integrating theories of memory, perception, action, and other aspects of cognition (for an introduction to cognitive architectures, see e.g., Gluck, 2010). Among the architectures developed to date (e.g., EPIC, Meyer & Kieras, 1997; Soar, A. Newell, 1992), the ACT-R architecture (e.g., Anderson, et al., 2004) provides perhaps the most detailed account of the various processes that may play a role in accessibility-based decisions. ACT-R has been successfully used to explain phenomena in a variety of fields, ranging from list memory (Anderson, Bothell, Lebiere, & Matessa, 1998), visuospatial working memory (e.g., Lyon, Gunzelmann, & Gluck, 2008), diagnostic reasoning (Mehlhorn, Taatgen, Lebiere, & Krems, in press), and probability learning (Gaissmaier, Schooler, & Rieskamp, 2006) to flying (Gluck, Ball, & Krusmark, 2007), driving (Salvucci, 2006), and the teaching of thousands of children in U.S. high schools with tutoring systems (Ritter, Anderson, Koedinger, & Corbett, 2007). Here, we will use ACT-R to implement 39 process models. These models are the recognition heuristic, as well as various other noncompensatory and compensatory decision strategies, including models that incorporate central aspects of integration, connectionist, evidence accumulation, and race models. In a model competition, we will test the 39 process models’ ability to predict people’s decisions and decision times in the memory paradigm.
Before we start, three comments are warranted. First, the goal of this article is not so much to advocate any particular process model, but rather, using the debate about the recognition heuristic as a case study, to provide a methodological primer on how architectures like ACT-R can be used to lend precision to the theorizing about decision processes. That is, while we also test process models against each other, the model competition’s objective is to illustrative methodological principles, and not necessarily to identify the very best model. For those interested in identifying the best model, the main contribution of this article is, perhaps, to provide 39 precisely specified process models, cast into the computer code of a detailed cognitive architecture, and ready to be tested in studies beyond the limited data we use here.
Second, there are many research programs that are built around quantitative models (e.g., Busemeyer & Townsend, 1993; Ratcliff & Smith, 2004; Rumelhart, McClelland, & the PDP Research Group, 1986). Certainly, our critique of the lack of specification of process hypotheses only applies to these models to the extent that they remain silent about the interplay of perceptual, memory, decision, intentional, and motor processes. Moreover, we are not the first who discuss decision strategies such as the recognition heuristic and related models in the context of ACT-R or other architectures (e.g., Dougherty et al., 2008; Gaissmaier, Schooler, & Mata, 2008; Hertwig et al., 2008; Marewski & Schooler, 2011; Nellen, 2003; Schooler & Hertwig, 2005; Van Maanen & Marewski, 2009).
Third, while it is possible to test evidence accumulation, the recognition heuristic, and other models against each other without implementing these models in a cognitive architecture, such direct model comparisons are not without problems, because these models tend to be specified at different levels of description and computational precision, resulting in different levels of detail and precision of the models’ predictions. For instance, many evidence accumulation models are specified mathematically and include several free parameters (e.g., Ratcliff & Smith, 2004). The recognition heuristic, in turn, consists of a verbally formulated if-then statement. (If one alternative is recognized, then choose the recognized alternative.) While the parameterized evidence accumulation models can yield predictions about decision time distributions, on its own the recognition heuristic’s if-then-statement does not predict such distributions. Much the same can be said with respect to comparisons of other models, including the aforementioned parallel constraint satisfaction and classic integration models. By implementing models of different levels of description and specificity in one architectural modeling framework, we make the models and their predictions comparable, providing a basis for future model tests beyond the ones we will provide below.
The article is structured as follows. First, we will describe the experimental data we used to test the models. Second, we will explain the methodological principles guiding our modeling. Third, we will provide an overview of ACT-R as well as of the models we implement. Fourth, we will illustrate how these models’ ability to predict people’s decisions and decision times can be tested.
We developed models for memory-based decisions about city size, which is the task most studies on the recognition heuristic have used (Figure 1). Specifically, we reanalyze Pachur, Bröder, and Marewski’s (2008) Experiments 1 and 2.2 These experiments are well-suited for our purposes, because they entail good control over peoples’ recognition and cue-knowledge, this way simplifying our modelling exercise.
To create stimulus materials for their experiments, Pachur et al. (2008) conducted pre-studies wherein they presented participants with names of British cities and had them indicate whether they had heard or seen the names prior to participating in the study, that is, whether they recognized them. Six highly recognized and 10 poorly recognized cities (R cities and U cities, respectively) were selected as stimuli. Pachur et al. also surveyed what people thought were useful cues for inferring the cities’ sizes to establish a stimulus set of cues. These cues were whether a city had significant industry (industry cue), an international airport (airport cue), or a premier league soccer team (soccer cue).
Learning task. The experiment was run with a new group of participants (N = 40, 19 females; mean age = 24.6 years). The experiment started with a learning task (as used by Bröder & Eichler, 2006; Bröder & Schiffer, 2003), in which participants were taught the three cues about the six R cities. During learning, cities and cues were presented repeatedly in a random order until participants correctly recalled all cities’ values on the cues. Table 1 summarizes the cues.
Table 1: Cues taught in the learning tasks of Experiments 1 and 2.
City Cue Aberdeen Bristol Nottingham Sheffield Brighton YorkIndustry + + + + +/−a +/−aAirport + + − − − −Soccer + + + + − −Note. + = positive cue value. − = negative cue value. a The design of Experiment 1 and 2 differed slightly. In Experiment 1, Pachur et al. (2008) taught participants positive values on the industry cue for Brighton and York. In Experiment 2, Pachur et al. taught participants negative values on the industry cue for Brighton and York.
Decision task. After having learned the cues, participants performed the decision task. In this task, 120 pairs of British cities were presented on a computer screen (one city on the left side of the screen, the other on the right). Participants were instructed to choose the one with more inhabitants by pressing a key (Figure 1).
For each trial, a pair of cities was drawn at random from three types of city pairs. In the main type (i), six R cities that were mostly recognized in the pre-studies were combined with 10 cities that were mostly unrecognized in the pre-studies, yielding 60 RU pairs. These 60 pairs were critical for Pachur et al.’s (2008) and our purposes, because they were most likely to allow people to apply the recognition heuristic. We used these pairs to test our models. To balance the presentation frequency of the R and U cities as much as possible, (ii) there were 30 filler pairs consisting of two cities that were mostly unrecognized in the pre-studies (UU pairs) as well as (iii) 30 filler pairs consisting of two recognized cities (RR pairs).
Recognition task. The decision task was followed by a recognition task. Participants were presented all cities in a random order and had to indicate for each city whether they had heard of it before participating in the experiment. The purpose of this recognition task was to make sure that the RU pairs, which were identified based on the pre-studies, also represented RU pairs for the participants of Experiment 1, whose recognition judgments were likely to be similar but not identical to the recognition judgments made in the pre-studies. We used participants’ responses in this task to model their recognition of cities.
Cue-memory task. After the recognition task, participants performed a cue-memory task in which they had to reproduce the cue values (“yes” or “no”) they had learned for the six R cities in the learning task. If they could not recall the correct values, they were allowed to respond “don’t know”. The purpose of this task was to test how well participants remembered the cues they were taught. We used participants’ responses in this task to model their retrieval of cues; for instance, whether they believed a city to have an airport.
In Experiment 2 (N = 40; 25 females; mean age = 25.2 years), for two cities the positive values on the industry cue were replaced by negative ones, such that recognition was contradicted by three negative cues (Table 1). In all other respects, Experiment 2 was identical to Experiment 1.
To strengthen our modeling efforts, we embraced five methodological principles.
Nested modeling. Any new model should be related to its own precursor (e.g., including it as special cases) and should be tested on data that the old model was able to account for (Grainger & Jacobs, 1996; Jacobs & Grainger, 1994). Our models implement the qualitative hypotheses discussed in the literature in a stepwise, nested fashion, and are tested on Pachur et al.’s (2008) data.
Competitive modeling. A model’s ability to account for data should not be evaluated in isolation, but in model comparisons (e.g., Fum, Del Missier, & Stocco, 2007; Gigerenzer & Brighton, 2009; Marewski, Schooler, & Gigerenzer, 2010). In such comparisons, a model’s ability to account for data can be compared to that of competing models. For instance, this way it is possible to learn that no model accounts for the data perfectly, but some account for them better than others. This way it is also possible to establish benchmarks in model evaluation; for example, a new model should be able to account for data better than previously existing models that are already known to account well for that data. Unfortunately, this competitive approach to model testing has rarely been taken in recognition heuristic research (but see Glöckner & Bröder, 2011; Marewski, Gaissmaier, Schooler, et al., 2009, 2010, Pachur & Biele, 2007, for exceptions). Here, we test all models competitively.
Figure 2: The organization of ACT-R. Note that the modules of the architecture have been mapped onto brain regions, enabling detailed process predictions of functional magnetic resonance imaging (fMRI) data (see e.g., Anderson, Fincham, Qin, & Stocco, 2008). While it is beyond the scope of this article to test fMRI predictions, we would like to point out that all models reported in this article actually allow making such predictions, inviting future model tests.
![]()
Constrained modeling. Models should be tested by constraining their parameters in separate tasks (Anderson, 2007; Newell, 1990). We calibrated all models’ free parameters to the tasks of Experiment 1, using a stepwise procedure to constrain the parameter space. Specifically, we first fitted the parameters associated with recognition and cue retrieval on data of the recognition and cue-memory tasks of Experiment 1, creating separate ACT-R models of recognition and cue retrieval. With these parameters fixed, we then estimated the remaining parameters from participants’ decisions and decision times in the decision task of Experiment 1 (Appendix A).
Predictive modeling. We use the term “predicting” (or “generalization”) to refer to situations in which a model’s free parameters are fixed such that they cannot adjust to the data on which the model is tested. In contrast, we reserve the term “fitting” (or “calibration”) to refer to situations in which a model’s parameters are allowed to adapt to the data. Predicting data well lends credence to a model and is one standard by which models should be evaluated (e.g., Busemeyer & Y. M. Wang, 2000; Marewski & Olsson, 2009; Pitt, Myung, & S. Zhang, 2002; Roberts & Pashler, 2000). We used the parameters fitted on Experiment 1 to predict behavior in Experiment 2.3
Distributional modeling. Rather than just predicting means of behavioral data, we strive to predict the associated distributions, which further helps evaluating our ACT-R models’ ability to account for human data (for a related approach, see Ratcliff & Smith, 2004). Next, we will turn to ACT-R and these models.
ACT-R describes human cognition as a set of independent modules that interact through a production system (Figure 2). The production system consists of production rules (i.e., if–then rules) whose conditions (i.e., the “if” parts of the rules) are matched against the modules. If the conditions of a production rule are met, then the production rule can fire. In this case, the action specified by the production rule is carried out.
Each module implements different cognitive processes. The declarative module allows information storage in and retrieval from declarative memory, the intentional module keeps track of a person’s goals, and the imaginal module holds information necessary to perform the current task. By this token, the imaginal module is comparable to the focus of attention in working memory (e.g., Anderson, 2007; Borst, Taatgen, & Van Rijn, 2010; Oberauer, 2002). A visual module for perception and a manual module for motor actions (e.g., pressing a key on a computer keyboard) are used to simulate interactions with the world. While the different modules can operate in parallel, information within each module can only be processed in a serial manner (Byrne & Anderson, 2001).
In coordinating the modules, the production rules can act only on information that is available in buffers, which can be thought of as processing bottlenecks (Salvucci & Taatgen, 2008), linking the modules’ contents to the production rules. For instance, the production rules cannot access all contents of the declarative module, but only the part of information that is currently available in the retrieval buffer.
ACT-R distinguishes a symbolic and a subsymbolic system. The symbolic system is composed of the production rules as well as the modules and buffers. Access to the information stored in the modules and buffers is determined by the subsymbolic system. This system is cast as a set of equations and determines, for instance, the timing of memory retrieval. Before turning to these equations, let us provide two examples of the ACT-R models we implemented.
Our ACT-R models perform the same decision task as Pachur et al.’s experimental participants: They “read” the city names off the computer screen, process them, decide which city is larger, and enter the response by “pressing” a key.
Figure 3: Processing stream for Model 1, one of our implementations of the recognition heuristic. Light grey boxes depict processing an unrecognized city name; white boxes depict processing a recognized city name. Dark grey boxes depict actions related to the response. Note that predicted decision times represent examples; the model’s decision time predictions can vary across different decision trials, for instance, as a function of noisy perceptual and motor processes (Appendix A). Production rules are stylized representations of the LISP code productions rules that have been used to implement the models in ACT-R. ![]()
Figure 4: Processing stream for Model 4.H.PN. Light grey boxes depict processing an unrecognized city name; white boxes depict processing a recognized city name. Striped boxes depict actions related to the retrieval of cues. Dark grey boxes depict actions related to the response. Note that predicted decision times represent examples; the model’s decision time predictions can vary across different decision trials, for instance, as a function of noisy perceptual and noisy motor processes, or as a function of whether to-be-retrieved cues are positive, negative, or unknown (Appendix A). As we explain in detail below, also the order in which cues are processed (i.e., productions 6–11) will vary across trials (see also Footnote 7). Production rules are stylized representations of the LISP code productions rules that have been used to implement the models in ACT-R.
![]()
Figure 3 shows the processing stream of Model 1, which is one of our recognition heuristic implementations. As can be seen, the various processing steps assumed by the model are coordinated by a set of production rules. Specifically, the model assumes that people first read the names of both cities. In doing so, the model attempts to retrieve a memory trace of the cities’ names, called a chunk. Chunks are facts like “York is a city” or “York has industry” and model people’s recognition of city names and their cue knowledge, respectively. If a chunk representing the name of one city can be retrieved, then this city is recognized.4 In Model 1, retrieving the chunk of one city but not the chunk of the other is sufficient information to enter the recognized city as the larger city.
To compare, Figure 4 shows one of the compensatory strategies we implemented. As can be seen, Model 4.H.PN assumes that, after assessing recognition, a person will retrieve chunks about the recognized city, such as the industry cue. The retrieved cues are stored in the imaginal buffer. As we will explain below, from the imaginal buffer the cues spread a memory signal called activation to intuitive knowledge that large cities tend to have airports, premier league soccer teams, and significant industry. In the model, this knowledge is labeled big chunk. If the big chunk receives sufficient spreading activation from the retrieved cues, then Model 4.H.PN will recall that the recognized city is a large city and enter this city as response. If the big chunk’s activation is too weak, then the big chunk will not be retrieved. Consequently, the model has no reason to assume that the recognized city is large and will respond with the unrecognized city. The assumption is that such subsymbolic processes describe how people make implicit and intuitive, rather than explicit, deliberate judgments.
As can be seen by comparing the x-axes of Figures 3 and 4, decision times are longer in Model 4.H.PN than in Model 1, because Model 4.H.PN assumes more processing steps than Model 1. In what follows, we give a short overview of the subsymbolic processes that determine the timing of the processing steps in these and all other models.
Access to chunks such as “York is a city” or “York has industry” is determined by the chunk’s activation (Lovett, Daily, & Reder, 2000). The activation, Ai, of chunk i (e.g., a city or a cue) reflects the likelihood that the chunk will be needed in the future (Anderson & Schooler, 1991) and is determined by three components—the chunk’s base-level activation, Bi, the spreading activation the chunk receives from the current context, Si, and a noise component, ε:
| Ai = Bi + Si + ε (1) |
The first component that influences a chunk’s activation, Ai, its base-level activation, Bi, reflects the chunk’s past usefulness:
| Bi = ln | ⎛ ⎜ ⎜ ⎝ |
| tk−d | ⎞ ⎟ ⎟ ⎠ | (2) |
where n is the number of presentations of chunk i, tk is the time since the kth presentation, and d is a decay parameter. Consequently, the more often a city name or a cue was encountered (e.g., in an experimental task) and the more recent these encounters were, the higher the city’s or cue’s activation.5
The second component that influences a chunk’s activation, Ai, spreading activation, Si, reflects the chunk’s usefulness in the current context. The amount of spreading activation is determined by the chunk’s association to other chunks that are currently stored in the buffers (Anderson & Lebiere, 1998). In our models, reading a city name and encoding it in the imaginal buffer would, for example, increase the likelihood of a cue associated with this city being needed. The city would spread activation to the cue as described by Equation 3:
| Si = |
| Wj Sji, (3) |
where cue i receives spreading activation, Si, from city j. The amount of spreading activation Si is determined by the associative strength, Sji, between i and j, which is weighted by the source activation, Wj, of j in the imaginal buffer. The associative strengths, Sji, between chunks is approximated with
| Sji = S − ln (fanji), (4) |
where S is a parameter for the maximum associative strength between chunks and fan is the number of chunks i that are associated with a chunk j. Consequently, the more cues are associated with a city in memory, the lower the associative strength between the city and each of the cues.
The third component that influences a chunk’s activation, Ai, is the retrieval noise, ε . It is added to the activation of a chunk when a retrieval request is made. With s being a free parameter, ε is generated from a logistic distribution with a mean of zero and a variance of
| σ2 = |
| s2 . (5) |
Only chunks that exceed a certain amount of activation,
Ai, as defined by the
retrieval threshold, τ , can be retrieved. For instance,
only cues with activations falling above τ would be retrieved.
The retrieval probability, p, is:
p = 1/{1 + e(τ - Ai)/s}
If a chunk i can be retrieved, the time required for the retrieval is determined by the latency factor, F, and the activation of the chunk, Ai:
| retrieval time = Fe−Ai. (6) |
Thus, the more strongly city names and cues are activated in memory the faster they can be retrieved.
If no chunk matches a retrieval request or if the matching chunk with the highest activation is below the retrieval threshold, a retrieval failure will occur. For example, reading the name of an unknown city will result in a retrieval failure. The time it takes to note such a failure is:
| retrieval time = Fe−τ. (7) |
The above-described subsymbolic memory processes as well as the corresponding parameter values are identical in all models and the models also do not differ with respect to the perceptual and motor processes they assume (Appendix A).
However, the models do differ with respect to the decision processes. In implementing these processes, we had to make a series of assumptions, for instance, about the order in which people will assess recognition as opposed to cues. All assumptions are grounded in the decision, memory, and ACT-R literatures. Often, however, these literatures offer more than one plausible assumption. Following the principle of competitive modeling, we dealt with such competing assumptions by creating different models to implement them, which allowed us to test the assumptions against each other. Following the principle of nested modeling, we additionally combined part of these assumptions with each other, resulting in 39 models. These models are summarized in Table 2.
Table 2a: Overview of the perception and memory processes used in the 39 models.
Retrieve and encode city names Retrieve positive cues Retrieve negative cues Number of retrieved cuesa Retrieved cues can be forgotten Encode cues in the imaginal bufferModel 1 class: Stopping and decision rules noncompensatory—simple model Model 1 X 0Model 2 class: Stopping rule compensatory, decision rule noncompensatory—simple models Model 2.PN X X X 3Model 2.P X X 3Model 3 class: Stopping rule compensatory, decision rule noncompensatory—simple models Model 3.PN X X X 3 XModel 3.P X X 3 XModel 1&3 class: Stopping rule noncompensatory and compensatory, decision rule noncompensatory—race models Model 1&3.PN X X X 0 to 3 XModel 1&3.P X X 0 to 3 XModel 1&3.PN.F X X X 0 to zb X XModel 1&3.P.F X X 0 to zb X XModel 4 class: Stopping rule compensatory, decision rule compensatory—simple models Model 4.H.PN X X X 3 XModel 4.H.P X X 3 XModel 4.L.PN X X X 3 XModel 4.L.P X X 3 XModel 1&4 class: Stopping rule noncompensatory and compensatory, decision rule noncompensatory and compensatory—race models Model 1&4.H.PN X X X 0 to 3 XModel 1&4.H.P X X 0 to 3 XModel 1&4.H.PN.F X X X 0 to zb X XModel 1&4.H.P.F X X 0 to zb X XModel 1&4.L.PN X X X 0 to 3 XModel 1&4.L.P X X 0 to 3 XModel 1&4.L.PN.F X X X 0 to zb X XModel 1&4.L.P.F X X 0 to zb X XModel 5 class: Stopping rule compensatory, decision rule compensatory—simple models Model 5.1.PN X X X 1 to 3 XModel 5.1.P X X 1 to 3 XModel 5.2.PN X X X 2 to 3 XModel 5.2.P X X 2 to 3 XModel 5.3.PN X X X 3 XModel 5.3.P X X 3 XModel 1&5 class: Stopping rule noncompensatory and compensatory, decision rule noncompensatory and compensatory—race models Model 1&5.1.PN X X X 0 to 3 XModel 1&5.1.P X X 0 to 3 XModel 1&5.1.PN.F X X X 0 to zb X XModel 1&5.1.P.F X X 0 to zb X XModel 1&5.2.PN X X X 0 to 3 XModel 1&5.2.P X X 0 to 3 XModel 1&5.2.PN.F X X X 0 to zb X XModel 1&5.2.P.F X X 0 to zb X XModel 1&5.3.PN X X X 0 to 3 XModel 1&5.3.P X X 0 to 3 XModel 1&5.3.PN.F X X X 0 to zb X XModel 1&5.3.P.F X X 0 to zb X XNote. PN = Positive and negative cues. P = positive cues. F = forgetting cues. a As retrieved cues, we count all (positive, negative, and unknown) cue values that have been probed in memory. b The maximum number of retrieved cues is variable, because cues can be retrieved again when they are forgotten. For a description of parameter settings, see Appendix A; for a description of motor and perceptual processes, see Appendix A and http://act-r.psy.cmu.edu/; for model codes see http://www.ai.rug.nl/~katja/models or http://journal.sjdm.org/vol6.6.html.
Table 2b: Overview of the decision process and its outcome for the 39 models.
Information used in the decision process Outcome of the decision process Use recognition to choose between cities Use cues to choose between cities Use cues via sub-symbolic system Use cues via symbolic system Always choose recognized city Sometimes choose unrecognized city Decision time is influenced by cuesModel 1 class: Stopping and decision rules noncompensatory—simple model Model 1 X XModel 2 class: Stopping rule compensatory, decision rule noncompensatory—simple models Model 2.PN X X XModel 2.P X X XModel 3 class: Stopping rule compensatory, decision rule noncompensatory—simple models Model 3.PN X X XModel 3.P X X XModel 1&3 class: Stopping rule noncompensatory and compensatory, decision rule noncompensatory—race models Model 1&3.PN X X XModel 1&3.P X X XModel 1&3.PN.F X X XModel 1&3.P.F X X XModel 4 class: Stopping rule compensatory, decision rule compensatory—simple models Model 4.H.PN X X X XModel 4.H.P X X X XModel 4.L.PN X X X XModel 4.L.P X X X XModel 1&4 class: Stopping rule noncompensatory and compensatory, decision rule noncompensatory and compensatory—race models Model 1&4.H.PN X X X X XModel 1&4.H.P X X X X XModel 1&4.H.PN.F X X X X XModel 1&4.H.P.F X X X X XModel 1&4.L.PN X X X X XModel 1&4.L.P X X X X XModel 1&4.L.PN.F X X X X XModel 1&4.L.P.F X X X X XModel 5 class: Stopping rule compensatory, decision rule compensatory—simple models Model 5.1.PN Xa X X X XModel 5.1.P Xa X X X XModel 5.2.PN Xa X X X XModel 5.2.P Xa X X X XModel 5.3.PN Xa X X Xb Xb XModel 5.3.P Xa X X X XModel 1&5 class: Stopping rule noncompensatory and compensatory, decision rule noncompensatory and compensatory—race models Model 1&5.1.PN X X X X XModel 1&5.1.P X X X X XModel 1&5.1.PN.F X X X X XModel 1&5.1.P.F X X X X XModel 1&5.2.PN X X X X XModel 1&5.2.P X X X X XModel 1&5.2.PN.F X X X X XModel 1&5.2.P.F X X X X XModel 1&5.3.PN X X X Xb Xb XModel 1&5.3.P X X X X XModel 1&5.3.PN.F X X X Xb Xb XModel 1&5.3.P.F X X X X XNote. PN = Positive and negative cues. P = positive cues. F = forgetting cues. a Models of the Model 5 class use recognition to decide between cities if they cannot reach their decision criterion of C cues. b In Experiment 1, the PN versions of the Model 5.3 and 1&5.3 classes always choose recognized cities, because these models require at least three negative cues to choose unrecognized cities (C = 3). In Experiment 2, the models sometimes choose unrecognized cities, because in this experiment cases with three negative cues occurred (Table 1).
As can be seen in Table 2, the labeling of the models is organized around eight main classes: the Model 1, 2, 3, 4, 5, 1&3, 1&4, and 1&5 class, with each class embodying different sets of assumptions. Specifically, as we will discuss in more detail below, the Model 1 class implements what one may loosely6 term noncompensatory processes; the Model 2 and 3 classes implement noncompensatory and compensatory processes; and the Model 4 and 5 classes implement only compensatory processes. The Model 1&3, 1&4, and 1&5 classes were generated by partially combining the Model 1, 3, 4, and 5 classes with each other. For example, combining Model 1 and Model 3 resulted in the Model 1&3 class. In what follows we will describe the models in more detail. Complete model codes can be downloaded from http://www.ai.rug.nl/~katja/models or http://journal.sjdm.org/vol6.6.html.
Primacy of recognition. As a first processing step, all models read the city names (in Table 2a, column labeled retrieve & encode city names). If they can retrieve a city, they encode it as recognized in the imaginal buffer. If they cannot retrieve a city, they encode it as unrecognized. Put differently, we assume that people will first assess their recognition of the city names before retrieving further cues. This assumption is grounded in our experimental setup, in which participants were shown the city names but no cues (Figure 1). Moreover, this assumption is consistent with the literature, which suggest that familiarity (i.e., recognition) arrives on the mental stage earlier than recollection (e.g., Gronlund & Ratcliff, 1989; Hertwig et al., 2008; Hintzman & Curran, 1994; McElree, Dolan, & Jacoby, 1999; Pachur & Hertwig, 2006; Ratcliff & McKoon, 1989; Volz et al., 2006).
The models differ in the steps that are executed after recognition has been assessed. Whereas Model 1 bases decisions only on recognition, the remaining 38 models additionally retrieve cues. In all of these 38 models, the retrieval of cues is instantiated by three sets of production rules, which attempt to retrieve a city’s value on the soccer, industry, and airport cues, respectively. If such a retrieval attempt is successful, the cue value is retrieved from memory. If the attempt is not successful (a retrieval failure occurs), the value of this cue is unknown to the model. (For simplicity, in both cases we speak of the respective cues as having been “retrieved”, because, even if the cue value is unknown, the cue has been probed in memory.) Which production fires first, and correspondingly, which cue is retrieved first, is determined at random. We implemented this random cue retrieval order, because during the learning task all cues were presented equally often in random order until they were remembered perfectly, making it equally likely for a person to remember that a city has a premier league soccer team, a significant industry, or an international airport, respectively.
Positive and negative cues. It has been argued that people are more likely to use positive cues rather than negative ones (Dougherty et al., 2008; Glöckner & Bröder, 2011). We incorporated this hypothesis in the models. As can be seen in Table 2a, except for Model 1, which does not retrieve any cues, for all models we created two versions, one that retrieves positive and negative cues (labeled PN version, e.g., Model 2.PN) and one that retrieves only positive cues (labeled P version; e.g., Model 2.P). Note that retrieving negative cues is not necessary to decide in favor of unrecognized cities (see descriptions of Model 4 and Model 1&4 below). Also note that we assume positive cues to be more strongly activated and therefore to be retrieved faster than negative ones (Appendix A).
Model 1, 2, and 3 classes: Models with noncompensatory decision rules. As mentioned above, Model 1 assesses recognition only, always inferring recognized cities to be larger than unrecognized ones. Also Models 2.PN, 2.P, 3.PN, and 3.P always infer recognized cities to be larger than unrecognized ones. Yet, these four models additionally retrieve cues. Adding yet another processing step, Models 3.PN and 3.P do not only retrieve the cues, but also encode their values (e.g, in Model 3.PN: positive, negative, or unknown) in the imaginal buffer. This encoding is time costly (see Appendix A, imaginal-delay), but it allows the cues to be available in working memory (i.e., in the imaginal buffer) for further processing steps and to spread activation to other information in memory.
In the terminology often used to describe the recognition and related heuristics, in Models 2.PN, 2.P, 3.PN, and 3.P what one may term “compensatory processes” govern the models’ stopping rules, that is, the models’ rules for deciding when to stop information retrieval, but “noncompensatory processes” direct the models’ decision rules, that is, the rules on how available information is used to make a decision. In Model 1, in contrast, both the stopping and the decision rules are noncompensatory.
Model 1 corresponds to what we deem to be the simplest recognition heuristic implementation; Models 2.PN, 2.P, 3.PN, and 3.P in turn, also implement the recognition heuristic, but incorporate more recent hypotheses about the heuristic’s stopping rule (Gigerenzer & Goldstein, 2011, p. 112; Pachur et al., 2008, p. 205). For example, the compensatory stopping rule in Model 3.PN will cause the model to stop information retrieval when it has retrieved and encoded the information of all three cues. The noncompensatory decision rule will then cause the model to ignore the cues and to decide based on the recognition of the cities.
Model 4 and 5 classes: Models with compensatory decision rules. The Model 4 and 5 classes implement both compensatory stopping and compensatory decision rules. As such, these models are representatives of the type of decision strategies that is often discussed as antipode to both the recognition heuristic and related noncompensatory heuristics (e.g., Bergert & Nosofsky, 2007; Bröder & Eichler, 2006; Bröder & Gaissmaier, 2007; Bröder & Schiffer, 2003; Glöckner & Hodges, 2011; Hilbig & Pohl, 2009; Mata et al., 2007; B. R. Newell & Fernandez, 2006; B. R. Newell & Shanks, 2004; Oeusoonthornwattana & Shanks, 2010; Pohl, 2006; Richter & Späth, 2006; Rieskamp & Hoffrage, 2008). Specifically, models of the 4 and 5 classes retrieve the city names and cues and encode them in the imaginal buffer, just as Models 3.PN and 3.P do. However, in contrast to Models 3.PN and 3.P, the Model 4 and 5 classes actually use the cues in the decision rules. We distinguish between two pathways of cue usage: subsymbolic, capturing how people make implicit, intuitive decisions, and symbolic, modeling explicit, deliberate decisions.
Subsymbolic use of cues. In the Model 4 class, the retrieved and encoded cues influence the decision through subsymbolic channels, that is, through spreading activation (Equation 3). If, for a given city, positive cues are encoded in the imaginal buffer, then these positive cues can spread activation to a chunk, labeled big chunk (Figure 4). If the activation is strong enough for the big chunk to cross the retrieval threshold, the big chunk will be retrieved and the model will judge the recognized city as large. If the big chunk does not receive sufficient spreading activation to cross the retrieval threshold, the model chooses the unrecognized city. As explained above, we assume this big chunk to reflect intuitive knowledge that a city is large.
How easily the big chunk will be retrieved varies between the models. In Models 4.H.PN and 4.H.P, the big chunk’s base-level activation is higher (hence H) than the retrieval threshold (Appendix A), such that the big chunk is likely to be retrieved. As a result these two models often (but not always) judge recognized cities to be larger than unrecognized ones. In Models 4.L.PN and 4.L.P the big chunk’s base-level activation is lower (hence L) than the retrieval threshold. Therefore, the retrieval of the big chunk will more strongly depend on how much activation is spread from positive cues to the big chunk. Importantly, all variants of Model 4 can decide in favor of unrecognized cities even if no negative cues are available, because such decisions depend on the big chunk, which only receives spreading activation from positive cues.
By assuming subsymbolic spreading activation and intuitive knowledge to be responsible for compensatory decision processes, the Model 4 class implements a central feature of connectionist parallel constraint satisfaction models (e.g., Glöckner & Betsch, 2008; Thagard, 1989, 2000), which Glöckner and Bröder (2011) and others (e.g., Hilbig & Pohl, 2009; Hochman et al., 2010) have argued account for behavior better than the recognition heuristic.
Symbolic use of cues. In the Model 5 class, retrieved and encoded cues influence the decision through symbolic pathways, reflecting more deliberate, explicit decision processes. Specifically, production rules check whether a required number of cues has been retrieved to decide whether the recognized city is larger than the unrecognized one or vice versa. As soon as C positive cues have been encoded, the models decide for the recognized city; as soon as C negative cues have been encoded they decide for the unrecognized city, with C representing the decision criterion. If the models cannot retrieve C cues, they use recognition as their best guess, deciding in favor of the recognized city. This also reflects the hypothesis that it is easier to go with than against recognition when making decisions (Pachur & Hertwig, 2006; Volz et al., 2006). Models 5.3.PN and 5.3.P employ a decision criterion of C = 3. The decision criterion of Models 5.2.PN and 5.2.N is C = 2. Models 5.1.PN and 5.1.P have the lowest decision criterion, with C = 1.
For example, assume Model 5.1.PN infers whether York or Stockport is larger. After judging York as recognized and Stockport as unrecognized, the model retrieves cues. The first retrieved cue has a positive value. Thus, the model decides that the York is the larger city. If the first retrieved cue had had a negative value, then the model would have decided that the unrecognized city, Stockport, is larger. If the value of the first cue had been unknown (i.e., attempting to retrieve one cue would have resulted in a retrieval failure), then the model would have continued to retrieve cues, until the decision criterion of C=1 positive or negative cues would have been reached. If all cue values had turned out to be unknown, then the model would have used recognition and decided for York.7
In sampling as many cues as needed to reach a decision criterion, the Model 5 class implements a feature of sequential sampling and evidence accumulation models that some have suggested describe behavior better than the recognition and related noncompensatory heuristics (e.g., Hilbig & Pohl, 2009; Lee & Cummins, 2004; B.R. Newell, 2005; B.R. Newell & Lee, in press). By specifying a decision criterion to decide in favor of unrecognized cities, the Model 5 class also resembles the type of compensatory strategies discussed by Marewski, Gaissmaier, Schooler, et al. (2010); which, however, assume no sequential sampling of cues. Finally, by placing equal importance on sampled (i.e., retrieved) cues, the Model 5 class implements a feature of classic unit-weight linear integration strategies (e.g., Dawes, 1979; Dawes & Corrigan, 1974; Einhorn & Hogarth, 1975; Gigerenzer & Goldstein, 1996); but also these classics assume no sequential cue sampling.
Model 1&3, 1&4, and 1&5 classes: Race models. We refer to all models described above as simple models and distinguish them from race models (Logan, 1988).8 Simple models implement only one type of decision process. Race models, in contrast, implement a race between competing processes. The outcome of this race determines which process will ultimately be responsible for the decision. Specifically, the Model 1&3 class implements a race between Model 1, that is, the simple noncompensatory process to respond with the recognized city, and Model 3, that is, the compensatory process to retrieve and encode cues. The Model 1&4 class implements a race between the noncompensatory process of Model 1 and the subsymbolic compensatory processes to retrieve, encode, and use cues as assumed by Model 4.9 The Model 1&5 class implements a race between the noncompensatory process of Model 1 and the symbolic compensatory processes to retrieve, encode, and use cues as assumed by Model 5.
To give an example from the Model 1&3 class, Model 1&3.PN first reads and encodes the city names. After these first steps, a race between responding directly with the name of the recognized city (i.e., as in Model 1) and retrieving and encoding one of the three cues (i.e., as in Model 3.PN) takes place. If a retrieve-cue process wins, the retrieved cue is encoded in the imaginal buffer and the race starts again. This race is repeated either (a) until the model responds with the recognized city before all three cues are retrieved (as in Model 1), or (b) until all three cues are encoded and a decision is made in favor of the recognized city (as in Model 3.PN).
As is explained in detail in Appendix C, in all race models, we assume that the respond-with-recognized-city process (i.e., Model 1) competes with all other processes of the respective simple model version (i.e., Model 3, Model 4, or Model 5). Consequently, the more steps that are required prior to a decision being made, the more often the respond-with-recognized-city process will compete against other processes. To illustrate this, in the Model 1&4 class, the respond-with-recognized-city process competes not only with the retrieve-cue process, but, once all cues are retrieved, also with the process of retrieving a big chunk (as in the Model 4 class).
Whereas in the Model 1&3 and 1&4 classes potentially all three cues can be retrieved (i.e., if the respond-with-recognized-city process does not win the race prior to retrieving all three cues), in the Model 1&5 class the number of cues that can be retrieved depends on the decision criterion C. For example, in Model 1&5.1.PN, which has a decision criterion of C = 1 positive or negative cue, the respond-with-recognized-city process competes with the retrieve-cue process until one positive or one negative cue has been retrieved. In Model 1&5.2.PN (C = 2) and Model 1&5.3.PN (C = 3), the race continues until two and three, respectively, positive or negative cues have been retrieved. If a model of the Model 1&5 class has retrieved all cues without reaching its decision criterion C, it will use recognition as its best guess (as in the Model 5 class).
For all race models, we additionally implemented variants that not only assume a race between noncompensatory recognition and compensatory cue retrieval and usage, but additionally assume that retrieved cues will at times be forgotten, such that these cues have to be retrieved again. These models are marked with an F in their name (e.g., Model 1&3.PN.F). The intuition is that the various retrieval, encoding, and decision processes can detract from previously retrieved cues (see Lewandowsky, Oberauer, & Braun, 2009, for a discussion of interference based forgetting in working memory). Specifically, these models start with a race between responding with the recognized city and retrieving and encoding more cues. As soon as at least two cues have been encoded in the imaginal buffer, an additional race against a forgetting process takes place.10 If this forgetting process wins the race, the retrieved cues are forgotten (i.e., they are removed from the imaginal buffer). If cues are forgotten, then the race between responding with the recognized city and retrieving and encoding cues takes place again. These processes continue until a decision is made.
As can be seen in Table 2, the 1&4 and 1&5 race Model classes consist of 8 and 12 different models, respectively. The large number of models within these race model classes is a product of our principle of nested modeling: Recall that the Model 4 class exists in two versions, L and H, representing low and high activation levels of the big chunk. Likewise, the Model 5 class exists in 3 versions, with each one making different assumptions about the number of cues that will be processed (i.e., C = 1, 2, or 3). To spare the reader from having to parse long lists of model names, below we subsume the models from these different versions of the Model 1&4 and 1&5 classes under the labels Model 1&4.L and 1&4.H classes, as well as Model 1&5.1, 1&5.2, and 1&5.3 classes, respectively.
It has been pointed out that people may differ in the strategies they use when making decisions from the accessibility of memories (e.g., Bergert & Nosofsky, 2007; Bröder & Gaissmaier, 2007; Cokely, Parpart, & Schooler, 2009; Gigerenzer & Brighton, 2009; Hilbig, 2008; Marewski, Gaissmaier, Schooler, et al., 2009, 2010; B.R. Newell & Shanks, 2004). For instance, Pachur et al. (2009) provided evidence that processing speed influences people’s reliance on recognition.
Also Pachur et al. (2008) interpreted their data as being suggestive of individual differences: While some of their participants always chose recognized cities irrespective of the cues they had been taught, other participants’ decisions seemed to have been influenced by these cues (see also Pachur, 2011). In reanalyzing Pachur et al.’s data, we took possible individual differences into account by examining the data separately for (a) those participants who always inferred recognized cities to be larger than unrecognized ones (henceforth: recognition group; nExperiment 1 = 25, nExperiment 2 = 19), and (b) those participants who sometimes inferred unrecognized cities to be larger (cue group; nExperiment 1 = 15, nExperiment 2 = 21).
Moreover, we tailored the 39 models to each individual participant in two steps. First, each participant’s responses in the recognition and cue-memory tasks were used to model the contents of that participant’s declarative memory. That is, we did not give the models perfect knowledge of the cities and cue profiles as shown in Table 1 but rather let the models operate on each individual participant’s recognition and knowledge, as assessed by the recognition and cue-memory tasks, respectively (see http://www.ai.rug.nl/~katja/models or http://journal.sjdm.org/vol6.6.html for each participants’ knowledge as used by the models). Second, using participants’ individual recognition and cue knowledge, all models were run on each participant’s trials in the decision task.
For simplicity and following the principle of nested modeling, we assessed the correspondence between the models’ predictions and the human data by analyzing these data in the same way Pachur et al. (2008) analyzed the human data. Specifically, we collapsed the human data across participants, calculating means and standard errors for proportions (for decisions) as well as medians and the 1st and 3rd quartiles (for decision times) separately for each of 2x3 categories of comparisons of cities. In Experiment 1, these categories were: the recognized city is associated with (a) one positive cue, (b) two positive cues, or (c) three positive cues, and the recognized city is associated with (a) two negative cues, (b) one negative cue, or (c) zero negative cues. In Experiment 2, the 2x3 categories were: the recognized city is associated with (a) zero, (b) two, or (c) three positive cues and with (a) three, (b) one, or (c) zero negative cues. In both experiments, the definition of the 2x3 categories was based on the cue profiles participants had been taught in the learning tasks (Table 1).11
Decisions and decision times produced by the models could vary between individual runs, due to noise and, where applicable, due to the race between different processes. Therefore, to compute the models’ predictions, for each participant of Experiments 1 and 2, each model was run 40 times. For each of these 40 runs, we calculated means and standard errors as well as medians and 1st and 3rd quartiles, separately for each of the 2x3 categories of each experiment in an analogous way as for the human data. For each category, the means, standard errors, medians, and quartiles were then averaged across the 40 simulation runs.
Due to the large number of models, in what follows we will mainly discuss the best models’ fits. All models’ fits are summarized in Table 3 and discussed in more detail in Appendix B. Appendix B also includes a complete set of graphs of all models’ fits.
Table 3: Root mean square deviations (RMSDs) between the model and the human data in Experiment 1
Recognition group Cue group Decisions (%) Decision times (ms) Decisions (%) Decision times (ms)Model 1 class: Stopping and decision rules noncompensatory—simple model Model 1 0 409 9.4 b 511Model 2 class: Stopping rule compensatory, decision rule noncompensatory—simple models Model 2.PN 0 258 9.4 b 355Model 2.P 0 283 9.4 b 376Model 3 class: Stopping rule compensatory, decision rule noncompensatory—simple models Model 3.PN 0 357 9.4 b 449Model 3.P 0 379 9.4 b 469Model 1&3 class: Stopping rule noncompensatory and compensatory, decision rule noncompensatory—race models Model 1&3.PN 0 110 9.4 b 219Model 1&3.P 0 97 9.4 b 201Model 1&3.PN.F 0 73 9.4 b 185Model 1&3.P.F 0 67 9.4 b 169Model 4 class: Stopping rule compensatory, decision rule compensatory—simple models Model 4.H.PN 10.7 a 427 0.9 499Model 4.H.P 10.7 a 477 1.5 518Model 4.L.PN 58.6 a 461 49.4 514Model 4.L.P 59.1 a 511 49.6 534Model 1&4 class: Stopping rule noncompensatory and compensatory, decision rule noncompensatory and compensatory—race models Model 1&4.H.PN 1.3 a 105 8.1 223Model 1&4.H.P 1.3 a 100 8.1 198Model 1&4.H.PN.F .8 a 71 8.5 177Model 1&4.H.P.F .7 a 55 8.6 157Model 1&4.L.PN 7.3 a 109 1.9 218Model 1&4.L.P 7.3 a 95 2.1 197Model 1&4.L.PN.F 4.2 a 63 5.1 176Model 1&4.L.P.F 4.3 a 56 5.1 155Model 5 class: Stopping rule compensatory, decision rule compensatory—simple models Model 5.1.PN 40.7 a 259 32.4 389Model 5.1.P 0 193 9.4 b 286Model 5.2.PN 48.1a 304 39.5 395Model 5.2.P 0 352 9.4 b 431Model 5.3.PN 0 357 9.4 b 449Model 5.3.P 0 379 9.4 b 469Model 1&5 class: Stopping rule noncompensatory and compensatory, decision rule noncompensatory and compensatory—race models Model 1&5.1.PN 15 a 243 8.3 372Model 1&5.1.P 0 209 9.4 b 326Model 1&5.1.PN.F 15.1 a 244 8.1 370Model 1&5.1.P.F 0 205 9.4 b 324Model 1&5.2.PN 8.1 a 133 6.8 248Model 1&5.2.P 0 118 9.4 b 220Model 1&5.2.PN.F 5.7 a 106 6.8 212Model 1&5.2.P.F 0 96 9.4 b 189Model 1&5.3.PN 0 109 9.4 b 223Model 1&5.3.P 0 97 9.4 b 203Model 1&5.3.PN.F 0 75 9.4 b 188Model 1&5.3.P.F 0 70 9.4 b 167Note. PN = Positive and negative cues. P = Positive cues. F = Forgetting cues. For decisions, RMSDs were calculated on the mean percentage of choices for the recognized city. For models that always decide for the recognized city, RMSDs for decisions will–by definition—always be 0 in the recognition group. For decision times, RMSDs were calculated on the median and the 1st and 3rd quartile and then averaged. Evaluations of the models’ fit based on RMSDs should be complemented by visual inspections of the data produced by the models (see Figures 5–8 and Appendix B: Figures B1-B18). a These models do by definition not fit the decision of the recognition group, because they sometimes decide for the unrecognized city whereas participants in the recognition group always decide for the recognized city. b These models do by definition not fit the decision of the cue group, because they always decide for the recognized city whereas participants in the cue group sometimes decide for the unrecognized city.
Figure 5: Decisions (a) and decision times (b) for the recognition group in Experiment 1. Human data and fits of the four models from the Model 1&3 class. Models are ordered from the top left to the bottom right in the same order as in Tables 2, 3, and 4. In each graph, the upper grey x-axis shows the number of negative cues; the corresponding data points (decisions in Panel A, decision times in Panel B) are plotted in grey font (triangles). In each graph, the lower black x-axis shows the number of positive cues; the corresponding data points are plotted in black font (circles). For instance, in Panel B the median of the human decision times is 1335 ms for two negative cues and 1332 ms for one positive cue.
Figure 6: Decisions (a) and decision times (b) for the recognition group in Experiment 1. Human data and fits of those six models from the Model 1&5.2 and 1&5.3 classes that always decide for the recognized city in Experiment 1. Models are ordered from the top left to the bottom right in the same order as in Tables 2, 3, and 4. In each graph, the upper grey x-axis shows the number of negative cues; the corresponding data points (decisions in Panel A, decision times in Panel B) are plotted in grey font (triangles). In each graph, the lower black x-axis shows the number of positive cues; the corresponding data points are plotted in black font (circles). ![]()
Figure 7: Decisions (A) and decision times (B) for the cue group in Experiment 1. Human data and fits of the four models from the Model 1&4.L class. Models are ordered from the top left to the bottom right in the same order as in Tables 2, 3, and 4. In each graph, the upper grey x-axis shows the number of negative cues; the corresponding data points (decisions in Panel A, decision times in Panel B) are plotted in grey font (triangles). In each graph, the lower black x-axis shows the number of positive cues; the corresponding data points are plotted in black font (circles). For instance, in Panel A the mean percentage of participants’ choices for the recognized city is 88 for two negative cues and 89 for one positive cue.
![]()
Figure 8: Decisions (A) and decision times (B) for the cue group in Experiment 1. Human data and fits of those two models from the Model 1&5.2 class that sometimes decide against the recognized city in Experiment 1. Models are ordered from left to right in the same order as in Tables 2, 3, and 4. In each graph, the upper grey x-axis shows the number of negative cues; the corresponding data points (decisions in Panel A, decision times in Panel B) are plotted in grey font (triangles). In each graph, the lower black x-axis shows the number of positive cues; the corresponding data points are plotted in black font (circles).
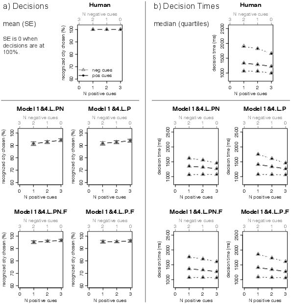
Recognition group. Figure 5 shows the human decisions and decision times in the recognition group as well as the decisions and decision times produced by the Model 1&3 class. Within this model class, Model 1&3.P.F produced the smallest RMSDs to the human data. As can be seen, neither the human decisions nor the model’s decisions vary as a function of the cues. At the same time, the human and the model’s decision times increase with the number of negative cues, decrease with the number of positive cues and show overall a large spread. Also the three remaining models of the 1&3 class, Models 1&3.PN, 1&3.PN.F, and 1&3.P, fit the decisions and decision times well. These three models are identical to Model 1&3.P.F except that they make no assumptions about the forgetting of cues (Models 1&3.PN, 1&3.P) and/or assume negative cues to be represented in memory (Models 1&3.PN, 1&3.PN.F).
As can be seen in Table 3 as well as by comparing Figures 5 and 6, those representatives of the Model 1&5 class that assume a decision criterion of 3 cues (Model 1&5.3.PN, Model 1&5.3.PN.F, Model 1&5.3.P, Model 1&5.3.P.F) fit the decisions and decision times about as well as the Model 1&3 class. For example, the best-fitting model from the Model 1&5.3 class, Model 1&5.3.P.F, produces basically the same decision time pattern as the best-fitting model from the Model 1&3 class, Model 1&3.P.F, and virtually the same RMSDs. Also those representatives of the Model 1&5 class that assume a decision criterion of 2 positive cues (Model 1&5.2.P, 1&5.2.P.F) fit the decisions and decision times well.
Importantly, while technically (i.e., by virtue of their RMSDs) Models 1&3.P.F and 1&5.3.P.F are the best-fitting models in Experiment 1’s recognition group, the models of the 1&3 and 1&5.3 classes, as well as the P versions of the Model 1&5.2 class produce relatively similar fits. Therefore, we caution to declare any specific model from these classes to be considered the single winner. Rather, we would prefer to consider these classes the winner. In short, in Experiment 1’s recognition group, the best-fitting model classes implement a race between Model 1’s recognition-based noncompensatory stopping and decision rules and other processes; namely (i) Model 3’s compensatory stopping rule and its recognition-based noncompensatory decision rule (i.e., as in the Model 1&3 class) as well as (ii) Model 5’s compensatory stopping and decision rules (i.e., as in the Model 1&5 class).
We would like to add three observations with respect to the Model 1&5 class. First, note that Model 1&5.3.PN’s and Model 1&5.3.PN.F’s comparatively good fit of the recognition group’s decisions (Figure 6) can be explained by Experiment 1’s design. These two models need to retrieve 3 negative cues to decide against the recognized city (C = 3). As 3 negative cues were not taught in Experiment 1 (Table 1), Model 1&5.3.PN and Model 1&5.3.PN.F could not reach this decision criterion in Experiment 1, resulting in the models to always decide in favor of recognized cities. Had 3 negative cues been taught in Experiment 1, Model 1&5.3.PN and Model 1&5.3.PN.F would have produced decisions in favor of unrecognized cities, resulting in poor fits in the recognition group.12
Second, while one could thus argue that Model 1&5.3.PN’s and Model 1&5.3.PN.F’s good fit is an artifact of Experiment 1’s design, the comparatively good fit of Model 1&5.3.P and Model 1&5.3.P.F is no such artifact: As these two models do not use negative cue knowledge, they never decide against unrecognized cities, but use recognition and positive cues to decide in favor of recognized ones. On the other hand, one may wonder whether compensatory, cue-based models that can never decide against unrecognized objects are theoretically plausible, or, what such models would add beyond models with simpler recognition-based, noncompensatory decision rules (e.g., as implemented by the Model 1&3 class).
Third, also Models 1&5.1.P and 1&5.1.P.F which assume a decision criterion C of 1 positive cue exhibit relatively small RMSDs (Table 3). By this token, also these representatives of the Model 1&5 class may belong to the winners. However, note that Models 1&5.1.P and 1&5.1.P.F produce a much smaller spread in the decision time distribution than the spread that can be found in the human times (Figure B13 in Appendix B).
Cue group. Figure 7 shows the human decisions and decision times as well as the decisions and decision times produced by the Model 1&4.L class, which is the class that best fits the combination of decisions and decision times in the cue group. As can be seen, the human decisions and decision times as well as the models’ decisions and decision times vary as a function of cues. The decision times show a large spread. While the Model 1&4.L class emerges as the best-fitting class, it is difficult to rank order the models within that class in terms of their RMSDs. As Table 3 shows, Model 1&4.L.P.F fits the decision times best; however, this model does not produce the smallest RMSDs for the decisions, which are produced by Model 1&4.L.PN.
Let us turn to a couple of other models that may, perhaps, be considered to belong to the winners in the cue group. First, as can be seen in Table 3, the Model 1&4.H class, which differs from the Model 1&4.L class only in the base level activation of the big-chunk, produces a good fit of the decision times, while not fitting the decisions as well as the 1&4.L class (Figure B8 in Appendix B). Second, Table 3 suggests that also the PN versions of the Model 1&5.2 class (i.e., Model 1&5.2.PN, 1&5.2.PN.F) produce a relatively good fit to the cue group’s combination of decisions and decision times. However, as a visual inspection of Figure 8 reveals, these models produce an abrupt drop in decisions for the recognized city as soon as the decision criterion of C = 2 negative cues is reached. The human data do not exhibit such a drop. Much the same can be said with respect to the PN versions of the Model 1&5.1 class (Figure B13 in Appendix B), which produce an even steeper drop in the decisions, and which fit the spread of the decision times less well than the Model 1&5.2 class.
In short, the cue group’s best-fitting models are members of the Model 1&4.L class. This model class implements a race between Model 1’s noncompensatory stopping rule and Model 4’s compensatory stopping rule as well as a race between Model 1’s noncompensatory decision rule and Model 4’s compensatory decision rule, assuming implicit, intuitive knowledge about the cities’ sizes to be responsible for occasional decisions in favor of unrecognized cities.
To test how well these results generalize to another data set, we let all 39 models predict the human decisions and decision times from Experiment 2. In doing so, we populated the models’ declarative memory with each individual participant’s recognition and cue knowledge, using participants’ responses in the recognition task and cue-memory task of Experiment 2—just as we did in Experiment 1. And as in Experiment 1, we ran the models on the trials of each individual participant in the decision task of Experiment 2. Following our principle of predictive modeling, we kept all models’ production rules as well as the values of all models’ parameters identical to those used in Experiment 1.
Table 4: Root mean square deviations (RMSDS) between the model and the human data in Experiment 2
Recognition group Cue group Decisions (%) Decision times (ms) Decisions (%) Decision times (ms)Model 1 class: Stopping and decision rules noncompensatory—simple model Model 1 0 279 15.9 b 498Model 2 class: Stopping rule compensatory, decision rule noncompensatory—simple models Model 2.PN 0 255 15.9 b 290Model 2.P 0 307 15.9 b 320Model 3 class: Stopping rule compensatory, decision rule noncompensatory—simple models Model 3.PN 0 454 15.9 b 380Model 3.P 0 531 15.9 b 410Model 1&3 class: Stopping rule noncompensatory and compensatory, decision rule noncompensatory—race models Model 1&3.PN 0 101 15.9 b 170Model 1&3.P 0 135 15.9 b 145Model 1&3.PN.F 0 134 15.9 b 131Model 1&3.P.F 0 179 15.9 b 109Model 4 class: Stopping rule compensatory, decision rule compensatory—simple models Model 4.H.PN 11.7 a 590 6.8 435Model 4.H.P 12 a 666 6.6 474Model 4.L.PN 57.8 a 623 45.1 456Model 4.L.P 57.1 a 699 44.9 500Model 1&4 class: Stopping rule noncompensatory and compensatory, decision rule noncompensatory and compensatory—race models Model 1&4.H.PN 1.6 a 100 14.4 164Model 1&4.H.P 1.6 a 151 14.5 140Model 1&4.H.PN.F 0.9 a 138 15.1 124Model 1&4.H.P.F 0.8 a 180 15.1 88Model 1&4.L.PN 7.4 a 115 10.9 166Model 1&4.L.P 7.2 a 150 11.2 145Model 1&4.L.PN.F 4.2 a 147 13.1 125Model 1&4.L.P.F 4 a 204 12.9 95Model 5 class: Stopping rule compensatory, decision rule compensatory—simple models Model 5.1.PN 60.1 a 193 44.8 331Model 5.1.P 0 436 15.9 b 409Model 5.2.PN 56.7 a 284 40.8 295Model 5.2.P 0 472 15.9 b 373Model 5.3.PN 44.7 a 453 28.5 380Model 5.3.P 0 531 15.9 b 410Model 1&5 class: Stopping rule noncompensatory and compensatory, decision rule noncompensatory and compensatory—race models Model 1&5.1.PN 22 a 166 7.2 321Model 1&5.1.P 0 177 15.9 b 251Model 1&5.1.PN.F 21.8 a 163 6.9 320Model 1&5.1.P.F 0 208 15.9 b 236Model 1&5.2.PN 13 a 123 2.9 206Model 1&5.2.P 0 142 15.9 b 167Model 1&5.2.PN.F 10.5 a 106 5.6 185Model 1&5.2.P.F 0 175 15.9 b 131Model 1&5.3.PN 5.8 a 99 10.2 162Model 1&5.3.P 0 146 15.9 b 146Model 1&5.3.PN.F 3.1 a 131 12.6 135Model 1&5.3.P.F 0 167 15.9 b 104Note. PN = Positive and negative cues. P = Positive cues. F = Forgetting cues. For decisions, RMSDs were calculated on the mean percentage of choices for the recognized city. For models that always decide for the recognized city, RMSDs for decisions will—by definition—always be 0 in the recognition group. For decision times, RMSDs were calculated on the median and the 1st and 3rd quartile and then averaged. Evaluations of the models’ fit based on RMSDs should be complemented by visual inspections of the data produced by the models (see Figures 9–12, and Appendix B: Figures B19-B36). a These models do by definition not fit the decision of the recognition group, because they sometimes decide for the unrecognized city whereas participants in the recognition group always decide for the recognized city. b These models do by definition not fit the decision of the cue group, because they always decide for the recognized city whereas participants in the cue group sometimes decide for the unrecognized city.
Figure 9: Decisions (A) and decision times (B) for the recognition group in Experiment 2. Human data and predictions of the four models from the Model 1&3 class. Models are ordered from the top left to the bottom right in the same order as in Tables 2, 3, and 4. In each graph, the upper grey x-axis shows the number of negative cues; the corresponding data points (decisions in Panel A, decision times in Panel B) are plotted in grey font (triangles). In each graph, the lower black x-axis shows the number of positive cues; the corresponding data points are plotted in black font (circles).
![]()
Figure 10: Decisions (A) and decision times (B) for the recognition group in Experiment 2. Human data and predictions of those four models from the Model 1&5.2 and 1&5.3 classes that always decide for the recognized city in Experiment 2. Models are ordered from the top left to the bottom right in the same order as in Tables 2, 3, and 4. In each graph, the upper grey x-axis shows the number of negative cues; the corresponding data points (decisions in Panel A, decision times in Panel B) are plotted in grey font (triangles). In each graph, the lower black x-axis shows the number of positive cues; the corresponding data points are plotted in black font (circles). ![]()
Table 4 summarizes the results for all models. In what follows, we will mainly discuss those models that generalized best (for all other models’ generalizability and a complete set of graphs of all models’ predictions see Appendix B.)
Figure 11: Decisions (A) and decision times (B) for the cue group in Experiment 2. Human data and predictions from the four models from the Model 1&4.L class. Models are ordered from the top left to the bottom right in the same order as in Tables 2, 3, and 4. In each graph, the upper grey x-axis shows the number of negative cues; the corresponding data points (decisions in Panel A, decision times in Panel B) are plotted in grey font (triangles). In each graph the lower black, x-axis shows the number of positive cues; the corresponding data points are plotted in black font (circles).
Figure 12: Decisions (A) and decision times (B) for the cue group in Experiment 2. Human data and predictions from those four models from the Model 1&5.2 and 1&5.3 classes that sometimes decide against the recognized city in Experiment 2. Models are ordered from the top left to the bottom right in the same order as in Tables 2, 3, and 4. In each graph, the upper grey x-axis shows the number of negative cues; the corresponding data points (decisions in Panel A, decision times in Panel B) are plotted in grey font (triangles). In each graph the lower black, x-axis shows the number of positive cues; the corresponding data points are plotted in black font (circles). ![]()
Recognition group. Figures 9 and 10 show the human decisions and decision times as well as the corresponding data produced by the best-generalizing models in the recognition group. These are representatives of the Model 1&3 class, as well as those representatives from the Model 1&5 class that assume a decision criterion of 2 and 3 positive cues (Models 1&5.2.P, 1&5.2.P.F, 1&5.3.P, 1&5.3.P.F). As can be seen, all winning models correctly predict that decisions do not vary as a function of cues. The models also predict the overall pattern and spread of the decision times well. Importantly, as the RMSDs in Table 4 show, the technically best-generalizing model, Model 1&3.PN, belongs to the Model 1&3 class, which also was one of the winning model classes in Experiment 1, lending, perhaps, further support to the 1&3 class.
Note that also Model 1&5.1.P—and to a lesser extent Model 1&5.1.P.F—exhibit relatively small RMSD in Table 4. However, as in Experiment 1, these models fail to predict the spread of the human decision times (Figure B31 in Appendix B).
In short, for the recognition group, members of the Model 1&3 class are among the best models in both experiments. Also the versions of the Model 1&5.2 and 1&5.3 class that use only positive cues perform well in both experiments. The versions of the Model 1&5.3 class that use positive and negative cues fitted Experiment 1’s recognition group well (Figure 6), but do not predict the recognition group’s decisions in Experiment 2. Recall that these two models need to retrieve 3 negative cues to decide against the recognized city. As 3 negative cues were not taught in Experiment 1 (Table 1), the models did not reach their decision criterion, leading them to always decide in favor of recognized cities. In Experiment 2, in contrast, 3 negative cues were taught. Correspondingly, the models do reach their decision criterion, leading them to occasionally decide against the recognized city, this way mismatching the recognition group data. However, as we explain next, the models turn out to generalize well to Experiment 2’s cue group.
Cue group. Figures 11 and 12 show the human data and the best-generalizing models in the cue group. These are the Model 1&4.L class as well as those representatives of the Model 1&5.2 and 1&5.3 classes that use positive and negative cues.
Let us first turn to the decisions of the Model 1&4.L class, which fitted the data best in Experiment 1. As in Experiment 1, the human decisions, as well as the decisions of the models vary as a function of cues. However, in Experiment 2, the human decisions are strongly influenced by three negative cues (i.e., corresponding to zero positive cues). Having been adjusted to Experiment 1, in which participants were taught a maximum of two negative cues (Table 1), the Model 1&4.L class fits the decisions for zero and one negative cue well, but has difficulties to predict the large effect of three negative cues in Experiment 2 (Figure 11). Much the same can be said with respect to the Model 1&4.H class, which, as in Experiment 1, does not predict the decisions as well as the 1&4.L class (Table 4; Figure B26 in Appendix B).
In contrast, consider the decisions of the PN versions of the Model 1&5.2 and 1&5.3 classes (Model 1&5.2.PN, 1&5.2.PN.F, 1&5.3.PN, 1&5.3.PN.F). As shown in Figure 12, these models do predict a large effect of negative cues on the decisions once their decision criterion of C negative cues is reached. Models 1&5.2.PN and 1&5.2.PN.F, which decide against the recognized city as soon as two negative cues have been retrieved, predict the pattern in the human decisions best (Table 4, Figure 12).
Figures 11 and 12 also show the decision times. The models from the 1&4.L class as well as the PN versions of the 1&5.2, and 1&5.3 classes are able to approximate the human decision time pattern and its spread. However, Models 1&5.2.PN and 1&5.2.PN.F, which predict the decisions best, do not predict the decision times as well as the representatives of the 1&4.L class and the PN versions of the 1&5.3 class (Table 4), making it difficult to rank the best model classes in terms of their performance.
Note that, as in Experiment 1, also the PN versions of the Model 1&5.1 class produce a drop in the decisions once its decision criterion of C = 1 negative cues is reached. However, this drop is steeper than in the human data and the model class fails to predict the spread of the decision times (Figure B32 in Appendix B.)
In short, the winning model classes in Experiment 2’s cue group are essentially identical to those that won in Experiment 1’s cue group—with two relevant caveats. First, in Experiment 2, besides the Model 1&4.L and 1&4.H classes, and the PN versions of the 1&5.2 classes, also the PN versions of the Model 1&5.3 class may be considered to belong to the winners. Second, in Experiment 1, the Model 1&4.L class fitted the decisions and decision times best. In Experiment 2, it is more difficult to establish a rank order of these classes’ ability to predict the human data, as those models that predict the decisions best do not predict the decision times best.13
Much research has investigated how people make decisions based on a sense of the accessibility of memories, as assumed by the recognition heuristic and related models (Bruner, 1957; Jacoby & Dallas, 1981; Pachur et al., 2011; Pohl, 2011; Tversky & Kahneman, 1973). At the same time, in the field of accessibility-based decision making and beyond, many have criticized the lack of specification of process hypotheses (e.g., Dougherty et al., 1999, 2008; Gigerenzer, 1996; 1998; Keren & Schul, 2009; A. Newell, 1973). Particularly the recognition heuristic has triggered a controversy about what processes describe people’s decisions best when they make inferences from the accessibility of memories: Do people rely on this noncompensatory heuristic, ignoring further knowledge, or do they use compensatory strategies instead?
In this article, we provided a primer on how the precision of corresponding process hypotheses can be increased. Using the ACT-R cognitive architecture, we specified process hypotheses about accessibility-based decisions in 39 quantitative process models. These models do not only capture decision processes, but also the interplay of decision processes with perceptual, memory, intentional, and motor processes. Moreover, by implementing a number of decision models that had originally been defined at different levels of description into one architectural modeling framework, we made these models comparable, providing a basis for detailed, multi-experiment model comparisons to be conducted in future research. Finally, we conducted a first model comparison ourselves, re-analyzing two previously published data sets.
Even though the main objective of this model comparison was to illustrate how such comparisons can be conducted rather than to conclusively identify the best model, in what follows we will first discuss our model comparison’s results. We will close by turning to a number of broader methodological issues.
Both in fitting existing data and in generalizing to new data, representatives of the race model classes performed best in our model competition. As such, the winners are models that implement recognition-based noncompensatory processes side by side with cue-based compensatory ones, suggesting that in one part of the trials in the decision task noncompensatory processes governed information retrieval and/or decision making, while in the other part compensatory processes were dominant. Specifically, our results highlight the possibility that even people who always responded with recognized cities (i.e., as in the recognition group) most likely retrieved and encoded cues in at least some of the trials. People who sometimes responded with unrecognized cities (i.e., as in the cue group), in turn, most likely based their decisions on cues in some of the trials but ignored these cues and relied on recognition in others. These results let the dichotomy between cue-based compensatory and recognition-based noncompensatory processes dissolve that is often assumed in the literature and that has fuelled debates about the recognition heuristic (e.g., Pohl, 2006, 2011; Richter & Späth, 2006; see above). Moreover, these results cast, perhaps, some doubt on a simplifying assumption that is central to this debate: By classifying a person exclusively as either a noncompensatory or a compensatory decision maker, previous studies had (at least implicitly) assumed that a person’s decision processes do not vary across the trials of a decision task (e.g., Glöckner & Bröder, 2011; Marewski, Gaissmaier, Schooler, et al., 2010).14
We hasten to add that our analyses entailed collapsing the data across participants’ responses, which severely limits the possibility to draw conclusions about individual persons’ decision processes. We suggest for future research to tackle this question, by using more exhaustive human data sets and analyses.
Models that implement merely one type of decision process, namely noncompensatory or compensatory, did not account as well for people’s behavior as the winning race models. Let us first turn to the noncompensatory models, and then to the compensatory ones.
Noncompensatory models. The strictly noncompensatory Model 1, which neither retrieves nor uses cues for decisions, did not accurately predict participants’ decision times, even for participants who always chose the recognized city (Appendix B, Figures B1, B19). As such, our results cast doubts on recognition heuristic implementations that assume noncompensatory recognition-based stopping and decision rules. Much the same can be said with respect to those recognition heuristic implementations that retrieve cues but do not use them for decisions: Also the Model 2 and 3 classes, which implement corresponding cue-based compensatory stopping and recognition-based noncompensatory decision rules, did not account well for people’s behavior (Appendix B, Figures B1, B19). However, the relative success of the 1&3 race Model class lends support to a combination of both recognition heuristic implementations: As the Model 1&3 class includes Model 1 and Model 3 as components, our results suggest that a combination of these two recognition heuristic implementations may reflect people’s decision processes in the comparisons of cities (Gigerenzer & Goldstein, 2011).
We would like to add two points. First, while representatives of the Model 1&3 class are both among Experiment 1’s best fitting and among Experiment 2’s best generalizing models, also those representatives of the 1&5 Model class that rely on positive cues in addition to recognition were able to account for behavior well. This result leads us to stress that it may be similarly plausible for noncompensatory, recognition-based stopping and decision rules to govern a part of the comparisons of two cities (i.e., Model 1), while compensatory, cue-based processes govern the other part (i.e., Model 5). On the other hand, the Model 1&3 class provides, arguably, a simpler explanation for the human data than the Model 1&5 class.
Second, we implemented just one strictly noncompensatory variant of the recognition heuristic: Model 1, which has both a recognition-based noncompensatory stopping and decision rule. It is to be expected that pitting this single strictly noncompensatory model against a total of 38 other models may have biased the outcome of the model comparison against strictly noncompensatory models.
Compensatory models. We implemented two types of strictly compensatory models. In assuming that subsymbolic pathways and spreading activation give rise to implicit, intuitive knowledge that governs compensatory decision processes, the Model 4 class implements a central feature of Glöckner and Betsch’s (2008) parallel constraint satisfaction model. The parallel constraint satisfaction model has been argued to account for behavior better than the recognition heuristic—at times without the model having been applied to data (e.g., Hilbig & Pohl, 2009; Hochman, et al, 2010; see Glöckner & Bröder, 2011, for a test that does apply the model to data).
The Model 5 class assumes symbolic pathways to be responsible for compensatory processes, and as such, decisions to be based on explicit, deliberate knowledge. Also models from this class have been discussed as antipodes to the recognition heuristic; almost always with such models not being applied to data (e.g., Hilbig & Pohl, 2009; B. R. Newell & Shanks, 2004; Oeusoonthornwattana & Shanks, 2010; Pohl, 2006; Richter & Späth, 2006), or with the models having been applied to data, but without using the models to quantitatively predict decision times (Marewski, Gaissmaier, Schooler, et al., 2009; Pachur & Biele, 2007).
Whereas both Model 4 and Model 5 classes were able to account for some aspect of the human data in the cue group, neither turned out to be sufficient (Appendix B; Figures B6, B12, B24, B30). Instead, the race models of the Model 1& 4 class, that is, combinations of the implicit, intuitive processes assumed by Model 4 and the noncompensatory, recognition-based processes of Model 1 were able to fit participant’s data best in Experiment 1. In Experiment 2, race models of the 1&4 class were also among the best-generalizing models; however, here representatives of the Model 1&5 class rivaled their performance. In short, with respect to strictly compensatory models, the current data suggest that the simple Model 4 and 5 classes are insufficient.
Model specification. At the close of this article, we would like to stress five points. First, most of the hypotheses about accessibility-based decisions tested here had only been formulated verbally in the literature. As a result, the outcomes of our model comparison also depend on our choices of how to implement such verbal hypotheses into detailed computational models in ACT-R. That is, we cannot rule out the possibility that different implementations will result in different results in model competitions. It is important to realize, however, that this specification problem (see Lewandowsky, 1993), namely, how to translate an underspecified hypothesis into a detailed model, is not a problem specific to research on accessibility-based decisions, but can also emerge when using cognitive architectures to implement hypotheses about cognitive processes in other areas of research, including when implementing classic decision strategies such as elimination-by-aspects (Tversky, 1972). Here we dealt with this problem by following the principles of competitive and nested modeling, leading us to implement a large number of variants of the accessibility-based strategies discussed in the literature.
Architecture. Second, the lack of specification many decision strategies exhibit is also problematic for another reason: Often it is not clear what drives a strategy’s ability to account for process data. Is it an unspecified assumption, for example about memory, perceptual, or motor processes? Or is it the decision strategy itself that carries the burden of explanation? As A. Newell (1990) puts it, a theory that deals with only one component of behavior (e.g., decision making) while ignoring the rest (e.g., memory) “flirts with trouble from the start” (p. 17). In our view, models of decision making should therefore be specified at an architectural level, spelling out not only decision processes, but also how these processes interweave with other cognitive processes.
Modeling principles. Third, we deem the two experimental data sets and analyses reported here to be insufficient to conclusively identify the best process model. For instance, as discussed above, some of our 39 models’ ability to account for the experimental data was similar. However, we would like to point out that we were able to obtain a more differentiated picture of the models’ performance than one might have expected, given how large the number of tested models was. We attribute those relatively-clear cut results of our model competition to the five methodological principles we embraced. For instance, had we just fitted median decision times and not additionally let the models fit and predict the decision times’ 1st and 3rd quartiles, then it would have been more difficult to judge which models account for decision times best, because different models may be able to produce similar median times, but different spreads for the underlying decision time distributions. Similarly, had we not constrained the models by estimating recognition and retrieval parameters from separate recognition and cue retrieval tasks and then keeping all parameters constant across all models, it may have been more difficult to tell whether a failure of a model to account for decision times should be attributed to the model’s assumptions about recognition and retrieval processes or to the model’s assumptions about decision processes.
Strategy selection. Fourth, we would like to point out that comparative tests of process models of decision strategies such as the ones we conducted above are incomplete if they are not informed by theories of strategy selection. Such theories predict in what situations and tasks a given decision strategy will be relied upon and in what situations and tasks a strategy will not come into play (Busemeyer & Myung, 1992; Lovett & Anderson, 1996; Marewksi & Schooler, 2011; Rieskamp & Otto, 2006). Without such a theory, rejecting a model of decision making simply because it does not predict behavior well in a certain situation or task is problematic. There are at least two potential reasons why a decision strategy does not predict behavior. One is (a) that the strategy per se is generally not a good model of behavior. An alternative reason is (b) that the decision strategy is not relied upon, because people (or the corresponding selection mechanisms) choose not to use it in a particular situation. For instance, in the cue group of Experiment 1, Models of the 1&4.L class fitted decisions and decision times best, lending support to an implicit use of cue knowledge. In Experiment 2, results were different. Whereas also in this experiment, Models of the 1&4.L class predicted the human decisions well for zero and one negative cues, models assuming more deliberate, explicit decision processes (i.e., Models of the 1&5.2 class) turned out to be the better predictors for decisions when three negative cues were known about the recognized city. The fact that the Model 1&4.L’s class relative success did not completely generalize from Experiment 1 to Experiment 2 could not only be interpreted as (a) challenging the validity of this model class, but also as (b) the difference in the design of the two experiments (Table 1) having resulted in a change in the decision strategies participants employed. A model of strategy selection that predicts when a given decision strategy will be used (and when not) could help to establish which of these two interpretations is likely to represent the better one.
Generalizability across experimental paradigms. Fifth, we would also like to stress that different experimental paradigms can require specifying different cognitive processes in the same decision model. Pachur et al.’s (2008) Experiment 1 and 2, which we re-analyzed here for the purpose of illustrating our 39 ACT-R models, entailed teaching participants cue knowledge about the cities (e.g., whether a city has an airport). It is not clear to what extend the results of our model comparison will generalize to experiments where participants have acquired their cue knowledge naturally, that is, is outside of the laboratory. For instance, in teaching the cue knowledge in Pachur et al.’s experiments, all to-be-learned cues were presented with equal frequency, making it likely that all cues exhibit similar base level activation in memory and have similar probabilities and speeds of retrieval. In experiments where knowledge is acquired naturally, the activation of different pieces of information will vary as a function of the environment, which can result in different probabilities and speed of retrieval for different pieces of information (see Marewski & Schooler, 2011, for corresponding ACT-R modeling efforts). In such experiments, different decision strategies may emerge as the winners than those we identified in our model comparisons. We encourage future research to tackle this question, because experimental paradigms involving naturally acquired information may be considered an ideal test-bed for the recognition heuristic (Gigerenzer & Goldstein, 2011; Pachur et al., 2008).
“Psychology … attempts to conceptualize what it is doing.… How do we do that? Mostly … by the construction of oppositions—usually binary ones. We worry about nature versus nurture, about central versus parallel, and so on.” These lines written by A. Newell in 1973 (p. 287) still reflect much research in the decision sciences today that centers on dichotomies such as compensatory versus noncompensatory processes. Also much of contemporary research on accessibility-based decisions and on the recognition heuristic suffers from this state of affairs (Tomlison, Marewski, & Dougherty, 2011). By developing models of accessibility-based decisions within an architecture, we have taken a small step toward replacing such dichotomies and the qualitative processes hypotheses associated with them, with detailed, quantitative models (see, e.g., Anderson, 2007; Dougherty et al., 1999; Nellen, 2003; Marewski & Schooler, 2011; A. Newell, 1990; Schooler & Hertwig, 2005).
To conclude, we would like to highlight that often there may exist many different models, all of which are equally capable of reproducing and explaining data—a dilemma that is also known as the identification problem (see Anderson, 1976). As a result it appears unreasonable to ask which of many process models is more “truthful”; rather, one needs to ask which model is better than another given a set of criteria, for example, the models’ degree of specification or its generalizability to new tasks. As Box (1979) puts it—and we agree—“All models are wrong, but some are useful” (p. 202). Importantly, however, while many functionally equivalent models may exist, there are infinite numbers of underspecified models for which nobody will ever be able to decide whether one is better than another, given a set of criteria. Thus, even though all models may be wrong, often there is no good alternative to making them as precise as possible.
Anderson, J. R. (1976). Language, memory, and thought. Hillsdale, NJ: Erlbaum.
Anderson, J. R. (2007). How can the human mind occur in the physical universe? New York: Oxford University Press.
Anderson, J. R., Bothell, D., Byrne, M. D., Douglass, S., Lebiere, C., & Qin, Y. (2004). An integrated theory of the mind. Psychological Review, 111, 1036–1060.
Anderson, J. R., Bothell, D., Lebiere, C., & Matessa, M. (1998). An integrated theory of list memory. Journal of Memory and Language, 38, 341–380.
Anderson, J. R., Fincham, J., Qin, Y., & Stocco, A. (2008). A central circuit of the mind. Trends in Cognitive Sciences, 12, 136–143.
Anderson, J., & Lebiere, C. (1998). The atomic components of thought. Mahway: NJ: Erlbaum.
Anderson, J. R., & Qin, Y. (2008). Using brain imaging to extract the structure of complex events at the rational time band. Journal of Cognitive Neuroscience, 20, 1624–1636.
Anderson, J. R., & Schooler, L. (1991). Reflections of the environment in memory. Psychological Science, 2, 396–408.
Bergert, F. B., & Nosofsky, R. M. (2007). A response-time approach to comparing generalized rational and take-the-best models of decision making. Journal of Experimental Psychology: Learning, Memory, and Cognition, 31, 107–129.
Borst, J. P., Taatgen, N. A., & Van Rijn, H. (2010). The problem state: A cognitive bottleneck in multitasking. Journal of Experimental Psychology: Learning, Memory, & Cognition, 36, 363–382.
Box, G. E. P. (1979). Robustness in the strategy of scientific model-building. In R. L. Launer & G. N. Wilkinson (Eds.), Robustness in statistics (pp. 201–236). New York: Academic Press.
Brandstätter, E., Gigerenzer, G., & Hertwig, R. (2006). The priority heuristic: Making choices without trade-offs. Psychological Review, 113, 409–432.
Bröder, A. (2003). Decision making with the “adaptive toolbox”: Influence of environmental structure, intelligence, and working memory load. Journal of Experimental Psychology: Learning Memory, and Cognition, 29, 611–625.
Bröder, A., & Eichler, A. (2006). The use of recognition information and additional cues in inferences from memory. Acta Psychologica, 121, 275–284.
Bröder, A., & Gaissmaier, W. (2007). Sequential processing of cues in memory-based multi-attribute decisions. Psychonomic Bulletin & Review, 14, 895–900.
Bröder, A., & Schiffer, S. (2003). Take the best versus simultaneous feature matching: Probabilistic inferences from memory and effects of representation format. Journal of Experimental Psychology: General, 132, 277–293.
Bröder, A., & Schiffer, S. (2006). Stimulus format and working memory in fast and frugal strategy selection. Journal of Behavioral Decision Making, 19, 361–380.
Bruner, J. S. (1957). On perceptual readiness. Psychological Review, 64, 123–152.
Busemeyer, J. R., & Myung, I. J. (1992). An adaptive approach to human decision making: Learning theory, decision theory, and human performance. Journal of Experimental Psychology: General, 121, 177–184.
Busemeyer, J. R., & Townsend, J. T. (1993). Decision field theory: A dynamic–cognitive approach to decision making in an uncertain environment. Psychological Review, 100, 432–459.
Busemeyer, J. R., & Wang, Y. M. (2000). Model comparisons and model selections based on generalization criterion methodology. Journal of Mathematical Psychology, 44, 171–189.
Byrne, M. D., & Anderson, J. R. (2001). Serial modules in parallel: The psychological refractory period and perfect time-sharing. Psychological Review, 108, 847–869.
Cokely, E.T., & Kelley, C.M. (2009). Cognitive abilities and superior decision making under risk: A protocol analysis and process model evaluation. Judgment and Decision Making, 4, 20–33.
Cokely, E. T., Parpart, P., & Schooler, L. J. (2009). On the link between cognitive control and heuristic processes. In N. A. Taatgen & H. van Rijn (Eds.), Proceedings of the 31th Annual Conference of the Cognitive Science Society (pp. 2926–2931). Austin, TX: Cognitive Science Society.
Davis-Stober, C. P., Dana, J., & Budescu, D. V. (2010). Why recognition is rational: Optimality results on single-variable decision rules. Judgment and Decision Making, 5, 216–229.
Dawes, R. M. (1979). The robust beauty of improper linear models in decision making. American Psychologist, 34, 571–582.
Dawes, R. M., & Corrigan, B. (1974). Linear models in decision making. Psychological Bulletin, 81, 95–106.
Dougherty, M. R. P., Franco-Watkins, A. N., & Thomas, R. (2008). Psychological plausibility of the theory of probabilistic mental models and the fast and frugal heuristics. Psychological Review, 115, 199–213.
Dougherty, M. R. P., Gettys, C. F., & Ogden, E. E. (1999). Minerva-DM: A memory processes model for judgments of likelihood. Psychological Review, 106, 180–209.
Einhorn, H. J., & Hogarth, R. M. (1975). Unit weighting schemes for decision making. Organizational Behavior and Human Performance, 13, 171–192.
Einhorn, H. J., Kleinmutz, D., & Kleinmutz, B. (1979). Linear regression and process-tracing models of judgment. Psychological Review, 86, 465–485.
Erdfelder, E., Küpper-Tetzel, C. E., & Mattern, S. D. (2011). Threshold models of recognition and the recognition heuristic. Judgment and Decision Making, 6, 7–22.
Ford, J. K., Schmitt, N., Schechtman, S. L., Hults, B. H., & Doherty, M. L. (1989). Process tracing methods: Contributions, problems, and neglected research questions. Organizational Behavior and Decision Processes, 43, 75–117.
Fum, D., Del Missier, F., & Stocco, A. (2007). The cognitive modeling of human behavior: Why a model is (sometimes) better than 10,000 words. Cognitive Systems Research, 8, 135–142.
Gaissmaier, W. & Marewski, J. N. (2011). Forecasting elections with mere recognition from lousy samples. Judgment and Decision Making, 6, 73–88.
Gaissmaier, W., Schooler, L. J., & Mata, R. (2008). An Ecological Perspective to Cognitive Limits: Modeling Environment-Mind Interactions with ACT-R. Judgment and Decision Making, 3, 278–291.
Gaissmaier, W., Schooler, L. J., & Rieskamp, J. (2006). Simple predictions fueled by capacity limitations: When are they successful? Journal of Experimental Psychology: Learning, Memory and Cognition, 32, 966–982.
Gigerenzer, G. (1996). On narrow norms and vague heuristics: A reply to Kahneman and Tversky (1996). Psychological Review, 103, 592–596.
Gigerenzer, G. (1998). Surrogates for theories. Theory & Psychology, 8, 195–204.
Gigerenzer, G., & Brighton, H. (2009). Homo heuristicus: Why biased minds make better inferences. Topics in Cognitive Science, 1, 107–143.
Gigerenzer, G., & Goldstein, D. G. (1996). Reasoning the fast and frugal way: Models of bounded rationality. Psychological Review, 104, 650–669.
Gigerenzer, G. & Goldstein, D.G. (2011). The Recognition Heuristic: A Decade of Research. Judgment and Decision Making, 6, 100–121.
Gigerenzer, G., Hoffrage, U., & Goldstein, D. G. (2008). Fast and frugal heuristics are plausible models of cognition: Reply to Dougherty, Franco-Watkins, & Thomas (2008). Psychological Review, 115, 230–239.
Gigerenzer, G., Hoffrage, U., & Kleinbölting, H. (1991). Probabilistic mental models: A Brunswikian theory of confidence. Psychological Review, 98, 506–528.
Glöckner A., & Betsch T. (2008). Modeling option and strategy choices with connectionist networks: Towards an integrative model of automatic and deliberate decision making. Judgement and Decision Making, 3, 215–228.
Glöckner, A. & Bröder, A. (2011). Processing of recognition information and additional cues: based analysis of choice, confidence, and response time. Judgment and Decision Making, 6, 23–42.
Glöckner A. & Hodges, S. D. (2011). Parallel constraint satisfaction in memory-based decisions. Experimental Psychology, 58, 180–195.
Gluck, K. A. (2010). Cognitive architectures for human factors in aviation. In E. Salas & D. Maurino (Eds.) Human Factors in Aviation, 2nd Edition (pp. 375–400). New York, NY: Elsevier.
Gluck, K. A., Ball, J. T., & Krusmark, M. A. (2007). Cognitive control in a computational model of the Predator pilot. In W. Gray (Ed.), Integrated models of cognitive systems (pp. 13–28). New York, NY: Oxford University Press.
Gold, J. I., & Shadlen, M. N. (2007). The neural basis of decision making, Annual Review of Neuroscience, 30, 535–574.
Goldstein, D. G., & Gigerenzer, G. (2002). Models of ecological rationality: The recognition heuristic. Psychological Review, 109, 75–90.
Goldstein, D. G., & Gigerenzer, G. (2011). The beauty of simple models: Themes in recognition heuristic research. Judgment and Decision Making, 6, 100–121.
Grainger, J., & Jacobs, A. M. (1996). Orthographic processing in visual word recognition: A multiple read-out model. Psychological Review, 103, 518–565.
Gronlund, S. D., & Ratcliff, R. (1989). The time course of item and associative information: Implications for global memory models. Journal of Experimental Psychology: Learning Memory, and Cognition, 15, 846–858.
Gunzelmann, G., Gross, J., Gluck, K., & Dinges, D. (2009). Sleep deprivation and sustained attention performance: Integrating mathematical and cognitive modeling. Cognitive Science, 33, 880–910.
Hauser, J. R., & Wernerfelt, B. (1990). An evaluation cost model of consideration sets. The Journal of Consumer Research, 16, 393–408.
Helversen, B. von, & Rieskamp, J. (2008). The mapping model: A cognitive theory of quantitative estimation. Journal of Experimental Psychology: General, 137, 73–96.
Hertwig, R., Herzog, S. M., Schooler, L. J., & Reimer, T. (2008). Fluency heuristic: A model of how the mind exploits a by-product of information retrieval. Journal of Experimental Psychology: Learning, Memory, and Cognition, 34, 1191–1206.
Higgins, E. T. (1996). Knowledge activation: Accessibility, applicability, and salience. In E. T. Higgins & A. Kruglanski (Eds.), Social psychology: Handbook of basic principles (pp. 133–168). New York: Guilford Press.
Hilbig, B. E. (2008). Individual differences in fast-and-frugal decision making: Neuroticism and the recognition heuristic. Journal of Research in Personality, 42, 1641–1645.
Hilbig, B. E., Erdfelder, E., & Pohl, R. F. (2010). One-reason decision-making unveiled: A measurement model of the recognition heuristic. Journal of Experimental Psychology: Learning, Memory, and Cognition, 36, 123–134.
Hilbig, B. E., & Pohl, R. F. (2009). Ignorance- vs. evidence-based decision making: A decision time analysis of the recognition heuristic. Journal of Experimental Psychology: Learning, Memory, and Cognition, 35, 1296–1305.
Hintzman, D. L., & Curran, T. (1994). Retrieval dynamics of recognition and frequency judgments: Evidence for separate processes of familiarity and recall. Journal of Memory and Language, 33, 1–18.
Hochman, G., Ayal, S., & Glöckner, A. (2010). Physiological arousal in processing recognition information: Ignoring or integrating cognitive cues? Judgment and Decision Making, 5, 285–299.
Hoffrage, U. (2011). Recognition judgments and the performance of the recognition heuristic depend on the size of the reference class. Judgment and Decision Making, 6, 43–57.
Huber, O. (1989). Information-processing operators in decision making. In H. Montgomery & O. Svenson (Eds.), Process and struture in human decision making (pp. 3–21). New York, NY: Wiley.
Jacoby, L. L., & Dallas, M. (1981). On the relationship between autobiographical memory and perceptual learning. Journal of Experimental Psychology: General, 110, 306–340.
Jacobs, A. M., & Grainger, J. (1994). Models of visual word recognition. Sampling the state of the art. Journal of Experimental Psychology: Human Perception and Performance, 20, 1311–1334.
Johnson, E. J., Schulte-Mecklenbeck, M., & Willemsen, M. (2008). Process Models deserve Process Data: Comment on Brandstätter, Gigerenzer, & Hertwig (2006). Psychological Review, 115, 263–272.
Kahneman, D. (2003). A perspective on judgment and choice. Mapping bounded rationality. American Psychologist, 9, 697–720.
Keren, G., & Schul, Y. (2009). Two is not always better than one: A critical evaluation of two-system theories. Perspectives in Psychological Science, 4, 533–550.
Koriat, A. (1993). How do we know that we know? The accessibility model of feeling of knowing. Psychological Review, 100, 609–639.
Lee, M. D., & Cummins, T. D. R. (2004). Evidence accumulation in decision making: Unifying the “take the best’ and the “rational’ models. Psychonomic Bulletin & Review, 11, 343–352.
Lewandowsky, S. (1993). The rewards and hazards of computer simulations. Psychological Science, 4, 236–243.
Lewandowsky, S., Oberauer, K., & Brown, G. D. A. (2009). No temporal decay in verbal short-term memory. Trends in Cognitive Sciences, 13, 120–126.
Logan, G. D. (1988). Toward an instance theory of automatization. Psychological Review, 95, 492–527.
Lovett, M. C., & Anderson, J. R. (1996). History of success and current context in problem solving: Combined influences on operator selection. Cognitive Psychology, 31, 168–217.
Lovett, M. C., Daily, L. Z., & Reder, L. M. (2000). A source activation theory of working memory: cross-task prediction of performance in ACT-R. Cognitive Systems Research, 1, 99–118.
Lyon, D., Gunzelmann, G., & Gluck, K. A. (2008). A computational model of spatial visualization capacity. Cognitive Psychology, 57, 122–152.
Marewski, J. N. (2008). Ecologically rational strategy selection. Doctoral dissertation. Free University, Berlin, Germany.
Marewski, J. N. (2010). On the theoretical precision, and strategy selection problem of a single-strategy approach: A comment on Glöckner, Betsch, and Schindler. Journal of Behavioral Decision Making, 23, 463–467.
Marewski, J. N., Gaissmaier, W., & Gigerenzer, G. (2010a). Good judgments do not require complex cognition. Cognitive Processing, 11, 103–121.
Marewski, J. N., Gaissmaier, W., & Gigerenzer, G. (2010b). We favor formal models of heuristics rather than loose lists of dichotomies: A Reply to Evans and Over. Cognitive Processing, 11, 177–179.
Marewski, J. N., Gaissmaier, W., Schooler, L. J., Goldstein, D. G., & Gigerenzer, G. (2009). Do voters use episodic knowledge to rely on recognition? In N.A. Taatgen & H. van Rijn (Eds.), Proceedings of the 31st Annual Conference of the Cognitive Science Society (pp. 2232–2237). Austin, TX: Cognitive Science Society.
Marewski, J. N., Gaissmaier, W., Schooler, L. J., Goldstein, D. G., & Gigerenzer, G. (2010). From Recognition to Decisions: Extending and Testing Recognition-Based Models for Multi-Alternative Inference. Psychonomic Bulletin and Review, 17, 287- 309.
Marewski, J. N., & Olsson, H. (2009). Beyond the null ritual: Formal modeling of psychological processes. Zeitschrift für Psychologie / Journal of Psychology, 217, 49–60.
Marewski, J. N., Pohl, R. F. & Vitouch, O. (2010). Recognition-based judgments and decisions: Introduction to the special issue (Vol. 1), Judgment and Decision Making, 5, 207–215.
Marewski, J. N., Pohl, R.F., & Vitouch, O. (2011a). Recognition-based judgments and decisions: Introduction to the special issue (II). Judgment and Decision Making, 6, 1–6.
Marewski, J. N., Pohl, R.F., & Vitouch, O. (2011b). Recognition-based judgments and decisions: What we’ve learned (so far). Judgment and Decision Making, 6, 359–380.
Marewski, J. N., Schooler, L. J., & Gigerenzer, G. (2010). Five principles for studying people’s use of heuristics. Acta Psychologica Sinica, 42, 72–87.
Marewski, J. N., & Schooler, L. J. (2011). Cognitive Niches: An ecological model of strategy selection. Psychological Review, 118, 393–437.
Mata, R., Schooler, L. J., & Rieskamp, J. (2007). The aging decision maker: Cognitive aging and the adaptive selection of decision strategies. Psychology and Aging, 22, 796–810.
McCloy, R., Beaman, C. P., & Smith, P. T. (2008). The relative success of recognition-based inference in multi-choice decisions. Cognitive Science, 32, 1037–1048.
McElree, B., Dolan, P. O., & Jacoby, L. L. (1999). Isolating the contributions of familiarity and source information to item recognition: A time course analysis. Journal of Experimental Psychology: Learning, Memory, and Cognition, 25, 563–582.
Mehlhorn, K., Taatgen, N.A., Lebiere, C., & Krems, J.F. (in press). Memory Activation and the Availability of Explanations in Sequential Diagnostic Reasoning. Journal of Experimental Psychology: Learning, Memory, and Cognition.
Mehlhorn, K., & Jahn, G. (2009). Modeling sequential information integration with parallel constraint satisfaction. In N. A. Taatgen & H. van Rijn (Eds.), Proceedings of the 31st Annual Conference of the Cognitive Science Society (pp. 2469–2474). Austin, TX: Cognitive Science Society.
Meyer, D. E., & Kieras, D. E. (1997). A computational theory of executive cognitive processes and multiple-task performance: Part 1. Basic Mechanisms. Psychological Review, 104, 3–65.
Nellen, S. (2003). The use of the “take-the-best” heuristic under different conditions, modelled with ACT-R. In F. Detje, D. Dörner, & H. Schaub (Eds.), Proceedings of the fifth international conference on cognitive modelling (pp. 171–176). Bamberg, Germany: Universitätsverlag Bamberg.
Newell, A. (1973). You Can’t play 20 questions with nature and win: Projective comments on the papers of this symposium. In W. G. Chase (Ed.), Visual information processing (pp. 283–310). Academic Press: New York.
Newell, A. (1990). Unified Theories of Cognition. Cambridge, MA: Harvard University Press.
Newell, A. (1992). Soar as a unified theory of cognition: issues and explanations. Behavioral and Brain Sciences, 15, 464–492.
Newell, B. R. (2005). Re-visions of rationality? Trends in Cognitive Sciences, 9, 11–15.
Newell, B. R., & Fernandez, D. (2006). On the binary quality of recognition and the inconsequentiality of further knowledge: Two critical tests of the recognition heuristic. Journal of Behavioral Decision Making, 19, 333–346.
Newell, B. R., & Lee, M. D. (in press). The right tool for the job? Comparing an Evidence Accumulation and a Naïve Strategy Selection Model of Decision Making. Journal of Behavioral Decision Making.
Newell, B. R., & Shanks, D. R. (2004). On the role of recognition in decision making. Journal of Experimental Psychology: Learning, Memory, and Cognition, 30, 923–935.
Newell, B.R., Weston, N.J., & Shanks, D.R. (2003). Empirical tests of a fast and frugal heuristic: not everyone “takes-the-best”. Organizational Behavior and Human Decision Processes, 91, 82–96.
Nosofsky, R. M., & Bergert, F. B. (2007). Limitations of exemplar models of multi-attribute probabilistic inference. Journal of Experimental Psychology: Learning, Memory, and Cognition, 33, 999–1019.
Oberauer K. (2002). Access to information in working memory: exploring the focus of attention. Journal of Experimental Psychology: Learning, Memory, and Cognition. 28, 411–421.
Oeusoonthornwattana, O., & Shanks, D. R. (2010). I like what I know: Is recognition a noncompensatory determiner of consumer choice? Judgment and Decision Making, 5, 310–325.
Oppenheimer, D. M. (2003). Not so fast! (and not so frugal!): Rethinking the recognition heuristic. Cognition, 90, B1–B9.
Pachur, T. (2010). Recognition-based inference: When less is more in the real world. Psychonomic Bulletin & Review, 17, 589–598.
Pachur, T. (2011). The limited value of precise tests of the recognition heuristic. Judgment and Decision Making, 6, 413–422.
Pachur, T., & Biele, G. (2007). Forecasting from ignorance: The use and usefulness of recognition in lay predictions of sports events. Acta Psychologica, 125, 99–116.
Pachur, T., Bröder, A., & Marewski, J. N. (2008). The recognition heuristic in memory-based inference: Is recognition a non-compensatory cue? Journal of Behavioral Decision Making, 21, 183–210.
Pachur, T., & Hertwig, R. (2006). On the psychology of the recognition heuristic: Retrieval primacy as a key determinant of its use. Journal of Experimental Psychology: Learning, Memory, and Cognition, 32, 983–1002.
Pachur, T., Mata, R., & Schooler, L. (2009). Cognitive aging and the adaptive use of recognition in decision making. Psychology and Aging, 24, 901–915.
Pachur, T., Todd, P. M., Gigerenzer, G., Schooler, L. J. & Goldstein, D. G. (2011). The recognition heuristic: A review of theory and tests. Frontiers in Cognitive Science, 2, 1–14.
Payne, J. W., Bettman, J. R., & Johnson, E. J. (1988). Adaptive strategy selection in decision making. Journal of Experimental Psychology: Learning, Memory, and Cognition, 14, 534–552.
Payne, J. W., Bettman, J. R., & Johnson, E. J. (1993). The adaptive decision maker. New York: Cambridge University Press.
Pitt, M. A., Myung, I. J., & Zhang, S. (2002). Toward a method for selecting among computational models for cognition. Psychological Review, 109, 472–491.
Pleskac, T. J. (2007). A signal detection analysis of the recognition heuristic. Psychonomic Bulletin & Review, 14, 379–391.
Pohl, R. (2006). Empirical tests of the recognition heuristic. Journal of Behavioral Decision Making, 19, 251–271.
Pohl, R. (2011). On the use of recognition in inferential decision making: An overview of the debate. Judgment and Decision Making, 6, 423–438.
Ratcliff, R., & McKoon, G. (1989). Similarity information versus relational information: Differences in the time course of retrieval. Cognitive Psychology, 21, 139–155.
Ratcliff, R., & Smith, P. L. (2004). A comparison of sequential sampling models for two-choice reaction time. Psychological Review, 111, 333–367.
Reimer, T., & Katsikopoulos, K. (2004). The use of recognition in group decision making. Cognitive Science, 28, 1009–1029.
Richter, T., & Späth, P. (2006). Recognition is used as one cue among others in judgment and decision making. Journal of Experimental Psychology: Learning, Memory, and Cognition, 32, 150–162.
Rieskamp, J., & Hoffrage, U. (1999). When do people use simple heuristics, and how can we tell? In G. Gigerenzer, P. M. Todd, & the ABC Research Group, Simple heuristics that make us smart (pp. 141–167). New York, NY: Oxford University Press.
Rieskamp, J., & Hoffrage, U. (2008). Inferences under time pressure: How opportunity costs affect strategy selection. Acta Psychologica, 127, 258–276.
Rieskamp, J., & Otto, P. (2006). SSL: A theory of how people learn to select strategies. Journal of Experimental Psychology: General, 135, 207–236.
Ritter, S., Anderson, J. R., Koedinger, K. R., & Corbett, A. (2007). Cognitive tutor: Applied research in mathematics education. Psychonomic Bulletin & Review, 14, 249–255.
Roberts, S., & Pashler, H. (2000). How persuasive is a good fit? A comment on theory testing. Psychological Review, 107, 358–367.
Rumelhart, D. E., McClelland, J. L., & the PDP Research Group. (Eds.). (1986). Parallel distributed processing: Explorations in the microstructure of cognition (Vol. I). Cambridge, MA: MIT Press.
Salvucci, D. D. (2006). Modeling driver behavior in a cognitive architecture. Human Factors, 48, 362–380.
Salvucci, D. D., & Taatgen, N. A. (2008). Threaded cognition: An integrated theory of concurrent multitasking. Psychological Review, 115, 101–130.
Scheibehenne, B., & Bröder, A. (2007). Predicting Wimbledon 2005 tennis results by mere player name recognition. International Journal of Forecasting, 23, 415–426.
Schooler, L. J., & Hertwig, R. (2005). How forgetting aids heuristic inference. Psychological Review, 112, 610–628.
Schulte-Mecklenbeck, M., Kühberger, A. & Ranyard, R. (Eds.). (2010). A Handbook of Process Tracing Methods for Decision Research: A Critical Review and User’s Guide. New York: Taylor & Francis.
Taatgen, N. A., Huss, D., Dickison, D. & Anderson, J. R. (2008). The acquisition of robust and flexible cognitive skills. Journal of Experimental Psychology: General, 137, 548–565.
Thagard, P. (1989). Explanatory coherence. Behavioral and Brain Sciences, 12, 435–467.
Thagard, P. (2000). Probabilistic networks and explanatory coherence. Cognitive Science Quarterly, 1, 91–114.
Tomlison, T., Marewski, J. N., & Dougherty, M. R. (2011). Four challenges for cognitive research on the recognition heuristic and a call for a research strategy shift. Judgment and Decision Making, 6, 89–99.
Trafton, J. G., Altmann, E. M., & Ratwani, R. M., (2009). A memory for goals model of sequence errors. Proceedings of the 9th International Conference on Cognitive Modeling. Manchester, UK.
Tversky, A. (1972). Elimination by aspects: A theory of choice. Psychological Review, 79, 281–299.
Tversky, A., & Kahneman, D. (1973). Availability: A heuristic for judging frequency and probability. Cognitive Psychology, 5, 207–232.
Van Maanen, L. & Marewski, J. N. (2009). Recommender systems for literature selection: A competition of decision making and memory models. In N. A. Taatgen & H. van Rijn (Eds.), Proceedings of the 31st Annual Conference of the Cognitive Science Society (pp. 2914–2919). Austin, TX: Cognitive Science Society.
Volz, K. G., Schooler, L. J., Schubotz, R. I., Raab, M., Gigerenzer, G., & Cramon, D. Y. von. (2006). Why you think Milan is larger than Modena: Neural correlates of the recognition heuristic. Journal of Cognitive Neuroscience, 18, 1924–1936.
Wang, H., Johnson, T., & Zhang, J. (2006). The order effect in human abductive reasoning: an empirical and computational study. Journal of Experimental & Theoretical Artificial Intelligence, 18, 215–247.
All 39 ACT-R decision models assume that memory, motor, and perceptual processes interweave with decision processes. In modeling these processes, we had to set the values of a number of parameters (see Table A1). All parameters were fitted by using participants’ data from Experiment 1.
The time to decide that a chunk (representing an unknown city or cue value) cannot be retrieved is determined by the retrieval threshold, τ , and the latency factor, F (Equation 8). Following the principle of constrained modeling, we set these parameters by creating a separate ACT-R model of recognition, labeled ACT-R recognition, which we fitted to participants’ responses in the recognition task of Experiment 1 (the model code is available at http://www.ai.rug.nl/~katja/models or http://journal.sjdm.org/vol6.6.html). Specifically, we let the model solve the recognition task in the same way the human participants did, by presenting each city name (one at a time) and letting the model indicate whether the name could be retrieved. As it turns out, in this task participants judged cities about 120 ms faster as recognized (Mdn = 962 ms) than as unrecognized (Mdn = 1,081 ms; for simplicity, in computing the medians, we collapsed the data of all participants, following our analyses of the data from the decision task, as well as Pachur et al.’s, 2008, original analyses). We were able to fit this difference in time (after informally searching the parameter space) by adjusting the retrieval threshold, τ , to −.3 and the latency factor, F, to .1. We then made ACT-R recognition the recognition component of the 39 decision models.
Table A1: Parameter settings.
Parameter Explanation Value Method by which the parameter was set Parameter used foraParameters determining the time for retrieval failures τ Retrieval threshold −.3 Fit to data from recognition task Retrieval failure time (Equation 8) F Latency factor .1 Fit to data from recognition task Retrieval failure time (Equation 8)Parameters determining the time for successful retrievals n Number of presentations of a chunk i (I) 3,000,000; (II) 60,000(III) 50,000; (IV) 30,000
(I and II): Fit to data from cue memory task
(III and IV): Fit to data from decision task Base-level activation Bi (Equation 2) tn Time in seconds since the first presentation of a chunk i −1e10 Fit to data from cue memory task Base-level activation Bi (Equation 2) d Decay parameter .5 Value that is typically used (Schooler & Hertwig. 2005; Anderson & Lebiere, 1998) Base-level activation Bi (Equation 2) Wj Activation of a chunk j in the imaginal buffer (number of chunks j in the imaginal buffer)−1 ACT-R default Spreading activation Si (Equation 3) Sji Associative strength between chunks j and i (I) Equation 4 determines valuesb(II) 0
(I) Calculated using Equation 4(II) Fit to data from cue memory task
Spreading activation Si (Equation 3) S Maximum associative strength 3 Fit to data from cue memory task Associative strength Sji (Equation 4) s Value determining the amount of retrieval noise .2 Value that has been used in the literature (e.g., Taatgen, et al., 2008) Retrieval noise ε (Equation 5)Other parameters that affect timing m Value determining the amount of perceptual and motor noise 3 ACT-R default, if noise is switched on Perceptual and motor noise visual-attention-latency Time in seconds to shift visual attention .035 Fit to data from decision task Moving attention imaginal-delay Time in seconds to respond to imaginal request .1 Fit to data from decision task Updating of the imaginal bufferNote. (I) = for cities and positive cues; (II) = for negative cues; (III) = for the big chunk in the Model 4.H and 1&4.H classes; (IV) = for the big chunk in the Model 4.L and 1&4.L classes. a For simplicity we listed all parameters only once in the table. However, some parameters are used in more than one equation. For instance, the latency factor, F, is used for calculating the time for retrieval failures and for successful retrievals. b There is no single value; Sji are calculated using Equation 4 for cities and positive cues values.
The time to successfully retrieve a chunk (representing a recognized city or its cue value) is determined by the activation of the chunk in memory, Ai, and by the latency factor, F (see Equation 7). We fixed the latency factor, F, on retrieval failure times (i.e., the time it takes to judge an alternative’s name as unrecognized) as described in the preceding paragraph. The activation, Ai, of a chunk i is influenced by three components: its base-level activation, Bi, spreading activation, Si, and a noise component, ε (see Equation 1). We estimated the parameters for the base-level activation, Bi, and the spreading activation, Si, by using the data from the cue memory task of Experiment 1. In the cue memory task, participants were asked to recall the cues of each of the six cities from the learning task. As it turns out, positive cues were recalled about 80 ms faster than negative cues (positive cues: Mdn = 1,148 ms; negative cues: Mdn = 1,234 ms; for simplicity, in computing the medians, we collapsed the data of all participants, following our analyses of the data from the decision task, as well as Pachur et al.’s, 2008, original analyses). In ACT-R, such a difference in retrieval time can be explained by assuming a difference in activation, Ai, between positive and negative cues. Using Equation 7, we first calculated the difference in activation, Ai, that would be necessary to cause such a difference in retrieval time. As described in detail below, we then estimated the values of parameters determining the base-level activation, Bi, and spreading activation, Si, such that the previously calculated difference in activation, Ai, would emerge.
A chunk’s base-level activation, Bi, reflects the cognitive system’s previous experience with the chunk. The recognized cities in Pachur et al.’s (2008) experiments were not only well-known British cities but these cities and their values on the three cues (industry, soccer and airport) were also extensively practiced in the learning task. In setting the base-level activation, Bi, we therefore assumed that the cities and their cue values would be strongly activated and, for simplicity, that this activation would be identical for cities and positive cues. To model the difference in retrieval times between positive and negative cues, we assumed that negative cues have a lower base-level activation, Bi, than positive cues. The exact values of base-level activation, Bi, depend on the values of three parameters: n, tk, and d (Equation 2). Setting d at .5, a value that is typically used in the literature (e.g., Schooler & Hertwig, 2005; Anderson & Lebiere, 1998), we estimated the values of tn (the first encounter with the chunk) to −1e10 seconds and n (the frequency of encounters) to 3,000,000 for positive cues and 60,000 for negative cues.
In addition to chunks representing cities and cue knowledge about the cities, Models of the 4 and 1&4 classes assume a chunk representing implicit knowledge about a city’s size, labeled big chunk, b. To set the base-level activation of the big chunk, we kept d and tn at the values described in the previous paragraph (i.e., d = .5; tn = −1e10) and estimated n. To estimate n, we fit the Models of the 4 and 1&4 classes to the human data in the decision task. More precisely, we first estimated n for what we now call Model 4.H by fitting this model to the cue groups’ decision data. In doing so, we estimated n to be 50,000, resulting in a base-level activation (Bb,= −.003) slightly above the retrieval threshold of −.3. As Model 4.H had difficulties to fit the spread of the decision time distributions, we then build the race version of this model. After realizing that this race version (i.e., Model 1&4.H) fit the decision times, but overestimated the proportion of choices for the recognized city in the decisions, we decided to re-fit n. Specifically, we examined how well a race version of Model 4 (i.e., Model 1&4) would fit the cue group’s decisions, if n was set to a lower value. After trying out various values for n, we settled on a value that yielded a good fit of the decisions, and called the race model with the new value for n Model 1&4.L. In this model, n was set to be 30,000, resulting in a base-level activation, Bb = −.51, slightly below the retrieval threshold of −.3. Once n was estimated for Model 1&4.L, we then—for the sake of completeness—additionally created the non-race version of Model 1&4.L, that is, Model 4.L, which assumes the same value for n as Model 1&4.L.
The amount of spreading activation, Si, from a chunk j in the imaginal buffer to a chunk i in memory is determined by the strength of activation of j in the imaginal buffer, Wj, and by the associative strength, Sji, between j and i (Equation 3). For calculating the strength of activation in the imaginal buffer, Wj, we used ACT-R’s default settings (1/number of chunks in the buffer). In setting the spreading activation, Si, for positive and negative cues (see above, beginning of this section), we varied the associative strength, Sji, between positive and negative cues: The associative strengths, Sji, between positive cues and cities were calculated using Equation 4, where we fit the cue memory data by setting the value of Equation 4’s free parameter S (i.e., the maximum spreading activation) to 3, after informally searching the parameter space. The associative strengths, Sji, between negative cues and cities were set to 0, as this setting allowed us to generate a sufficiently large difference in activation, Ai, between positive and negative cues. In the Model 4 and 1&4 classes, also the associative strengths, S ji, between positive cues and the big chunk were calculated using Equation 4 with the same value for Equation 4’s free parameter S ( = 3).
The amount of retrieval noise, ε , that is added to a chunk’s activation when the chunk is requested for retrieval is determined by the parameter s (Equation 5). As ACT-R does not provide a default value for this parameter, we set it to .2, which is a value that has been used in the literature before (e.g., Taatgen, Huss, Dickison, & Anderson, 2008).
To assess the adequacy of our parameter settings for the base-level activation, Bi, spreading activation, Si, and retrieval noise, ε , we constructed a separate ACT-R model for the cue memory task, labeled ACT-R cue_retrieval_PN. As the human participants, this model had to indicate for each city-cue combination, whether the cue value was positive, negative, or unknown. Using the parameter values described above (see also Table A1), this model was able to fit the difference in decision times between positive and negative cues. We made ACT-R cue_retrieval_PN the cue-retrieval component of those decision models that retrieve positive and negative cue values before their decision (i.e., all PN variants of the Model 2, 3, 4, 5, 1&3, 1&4, and 1&5 classes, respectively). Keeping the parameters fixed, we then generated a second model, ACT-R cue_retrieval_P, which can only retrieve positive cue values. We made this model the cue-retrieval component of those decision models that retrieve only positive cue values before their decision (i.e., all P variants of the Model 2, 3, 4, 5, 1&3, 1&4, and 1&5 classes, respectively). The codes for both cue retrieval models are available at http://www.ai.rug.nl/~katja/models or http://journal.sjdm.org/vol6.6.html.
In addition to the parameters described above, ACT-R has a number of other parameters that affect the timing of actions. We left those parameters at their default values, with three exceptions: the setting of perceptual and motor noise, the time required for moving attention to a stimulus on the screen, and the time required to update the imaginal buffer.
Perceptual and motor noise, m. ACT-R comes with a mechanism for adding noise to the timing of perceptual or motor actions. Whereas this mechanism is turned off by default, we decided to turn it on, because it seemed highly unlikely to us that the timing of perceptual and motor actions would be free of variability (for similar assumptions, see Trafton, Altmann, & Ratwani, 2009; Gunzelmann, Gross, Gluck, & Dinges, 2009). Once turned on, the mechanism adds noise to the timing of the visual and manual modules. This mechanism has one free parameter, m, which we left at its default value, 3.
Visual-attention-latency. By default, ACT-R assumes that people will move their attention to the locations on a computer screen where they detect a change on the screen. For example, in different experimental trials a stimulus might appear at different locations on the screen, leading people to move their attention to the stimulus’s new location in each of the trials. In the decision task we used, the cities were always presented at the same location on the screen. Thus, participants knew exactly where to look. To take this into account, we reduced the visual-attention-latency, that is, the time it takes our models to move their attention, from 85 ms (default value) to 35 ms.
Imaginal-delay. The imaginal buffer holds information that is currently in the focus of attention (e.g., a city name or a cue). When new information becomes available (e.g., a new cue has been retrieved), the information in the imaginal buffer needs to be updated (Borst et al., 2010). By default, this update (called the imaginal-delay) takes 200 ms, but the duration varies among the ACT-R models reported in the literature (see e.g., Anderson & Qin, 2008, who sampled the durations from a random distribution between 0 and 1500 ms). In the decision task we used, the update of the imaginal buffer is relatively simple, because information does not need to be replaced (e.g., as in Borst et al.) but is only added until a decision is made. For instance, if an additional cue has been retrieved, then this cue does not need to replace previously retrieved cues and city names but can just be added to the imaginal buffer. To take the simplicity of our task into account, we reduced the time it takes to update the imaginal buffer to 100 ms.
Visual displays of all models’ fits are provided in Figures B1-B18. The figures showing the models are arranged in the same order as the models in Tables 2, 3, and 4, which describe the models as well as quantify their fit. Each model’s fit is plotted for the experimental trials solved by the participants from the recognition group (uneven figure numbers) as well as the trials solved by the cue group (even figure numbers).
In each graph, the upper grey x-axis shows the number of negative cues; the corresponding data points (decisions in Panel A, decision times in Panel B) are plotted in grey font (triangles). In each graph, the lower black x-axis shows the number of positive cues; the corresponding data points are plotted in black font (circles).
Recognition group. As is to be expected, in the recognition group, those models that always choose recognized cities (Table 2b) fit the human decisions perfectly (RMSD of 0 in Table 3). Specifically, the Model 1, 2, 3 and 1&3 classes (Figures B1, B3) always decide in favor of recognized cities, because recognition is the only decision rule these models implement.
Also Models 5.1.P, 5.2.P, and 5.3.P (Figure B11), 1&5.1.P, 1&5.1.P.F (Figure B13), 1&5.2.P, 1&5.2.P.F (Figure B15), and 1&5.3.P, 1&5.3.P.F (Figure B17), always choose recognized cities. However, these models base such decisions on positive cues in addition to recognition. These models cannot choose unrecognized cities, because they cannot retrieve negative cues.
Finally, although models 5.3.PN (Figure B11), 1&5.3.PN, and 1&5.3.PN.F (Figure B17) do have access to negative cues, they always choose recognized cities, because the models require at least three negative cues (C = 3) to decide against recognized cities and in Experiment 1 participants were only taught up to two negative cues (Table 1).
None of the simple models that fit the human decisions of the recognition group (Model classes 1, 2, 3, and Models 5.1.P, 5.2.P, 5.3.P, and 5.3.PN) are able to fit the human decision times. Model 1 does not retrieve cues and therefore the cues do not affect timing (Figure B1). The Model 2 and 3 classes and those representatives of the Model 5 class that always chose the recognized city are able to more closely approximate the human decision times, as they show the tendency to produce slower decision times as a function of increasing amounts of negative cues (Figures B1 and B11); however, these model classes fail to fit the spread of the decision time distributions, resulting in high RMSDs (Table 3).
The race models that fit the human decisions of the recognition group (the Model 1&3 class, Figure B3; and Models 1&5.1.P, 1&5.1.P.F, Figure B13; 1&5.2.P, 1&5.2.P.F, Figure B15; 1&5.3.P, 1&5.3.P.F, 1&5.3.PN, 1&5.3.PN.F, Figure B17) differ with respect to their decision time fit. Whereas they all show the tendency to produce slower decision times with an increasing amount of negative cues (as found in the human data), the Model 1&3 and 1&5.3 classes, as well as the P versions of the 1&5.2 class produce a decision time distribution that is closest to the human data, because these models predict the largest spread in the decision times.
Cue group. Human decisions in favor of recognized cities tend to increase as a function of the number of positive cues and decrease as a function of the number of negative cues (e.g., Figure B2). As is to be expected, the models described in the previous section (i.e., see recognition group) do not fit this effect, because these models only produce decisions in favor of recognized cities (Figures B2, B4, B12, B14, B16, B18).
In contrast, models that use cue knowledge implicitly in the decision, the Model 4 and 1&4 classes, fit the pattern of decisions. In these models, the tendency to decide for the unrecognized city increases with the number of negative cues (Figures B6, B8, B10). The models differ with respect to the overall proportion of choices for the recognized city. For example, Model 4.H.PN fits the overall proportion well, whereas Model 4.L.PN underestimates the proportion of choices for the recognized city.
Model 5.1.PN, 5.2.PN, 1&5.1.PN, 1&5.2.PN, all of which use positive and negative cue knowledge explicitly in the decision and are able to reach their decision criterion of C negative cues to decide against the recognized city in this experiment, exhibit a tendency to choose unrecognized cities as a function of the number of negative cues. However, these models predict a drop in decisions for the recognized city once the decision criterion C is reached, which was not found in the human data (Figures B12, B14, B16).
None of the simple models that sometimes decide against the recognized city are able to predict the human decision time distribution (Figures B6, B12). The race models differ in their ability to predict the decision times (Figures B8, B10, B14, B16), with none of the models fitting the combination of decisions and decision times as well as the winning Model 1&4.L class.
Model 1, 2, and 3 classes and human data—recognition group—Experiment 1.

Model 1, 2, and 3 classes and human data—cue
group—Experiment 1.

Model 1&3 class and human data—recognition group—Experiment 1.

Model 1&3 class and human data—cue group—Experiment 1.

Model 4 class and human data—recognition group—Experiment 1.

Model 4 class and human data—cue group—Experiment 1.

Model 1&4.H class and human data—recognition
group—Experiment 1.

Model 1&4.H class and human data—cue group—Experiment 1.

Model 1&4.L class and human data—recognition
group—Experiment 1.

Model 1&4.L class and human data—cue group—Experiment 1.

Model 5 class and human data—recognition group—Experiment 1.

Model 5 class and human data—cue group—Experiment 1.

Model 1&5.1 class and human data—recognition
group—Experiment 1.

Model 1&5.1 class and human data—cue group—Experiment 1.

Model 1&5.2 class and human
data—recognition group—Experiment 1.

Model 1&5.2 class and human data—cue group—Experiment 1.

Model 1&5.3 class and human data—recognition
group—Experiment 1.

Model 1&5.3 class and human data—cue group—Experiment 1.

Visual displays of all models’ fits for Experiment 2 are provided in Figures B19-B36. As for Experiment 1, the models are presented in the same order as in Tables 2, 3, and 4, and each model’s prediction is shown separately for the recognition group (uneven figure numbers) and the cue group (even figure numbers).
Recognition group. As is to be expected, in the recognition group, the same model classes as in Experiment 1 accurately predict the human decisions (simple models: Model 1, 2, 3, class, Figures B19; and the P versions of the Model 5 class, Figure B29; race models: Model 1&3 class, Figure B21; and the P versions of the Model 1&5 class, Figures B31, B33, B35). As explained in the main text, exceptions are Models 5.3.PN, 1&5.3.PN, and 1&5.3.PN.F (Figures B29, B35), which always chose the recognized city in Experiment 1, but which can decide against recognized cities in Experiment 2.
As in Experiment 1, none of the simple models that accurately predict the human decisions is able to additionally predict the decision time distribution (Figures B19, B29). The race models differ in their ability to predict the decision times (Figures B21, B31, B33, B35). As in Experiment 1, the Model 1&3 class as well as the P versions of the Model 1&5.2 and 1&5.3 classes produce a decision time distribution that most closely resembles the human data, because these models predict a large spread in the decision times.
Cue group. In contrast to Experiment 1, in the cue group, the human decisions exhibit a drop in the proportion of decisions for the recognized city when three negative cues (or zero positive cues) are associated with the recognized city. Predicting a gradual decrease of decisions with an increasing number of negative cues, models that use cues implicitly (Model 4 and 1&4 classes; Figures B24, B26, B28) have difficulties to predict this new pattern in Experiment 2. As can be seen, these models only capture the gradual decrease in decisions from zero to one negative cues, but not the drop that is observed for decisions with three negative cues.
Models that use positive and negative cue knowledge explicitly (the PN versions of the Model 5 and 1&5 classes) do predict a drop in the proportion of decisions for the recognized city once their decision criterion C negative cues is reached. This drop is overestimated by the simple models (PN versions of Model 5 class, Figure B30) and by the race Models 1&5.1.PN and 1&5.1.PN.F (Figure B32). Using a decision criterion of C = 2 and C = 3 cues, respectively, Models 1&5.2.PN, 1&5.2.PN.F (Figure B34), 1&5.3.PN, and 1&5.3.PN.F (Figure B36) capture the drop in human decisions.
As in Experiment 1, none of the simple models that sometimes decide against the recognized city is able to predict the human decision time distribution (Figures B24, B30). The race models differ in their ability to predict the decision times (Figures B26, B28, B32, B34, B36), with the models that predict the largest spread in the decision times fitting the human decision time distribution best (Model 1&4 class and Models 1&5.3.PN; 1&5.3.PN.F).
Model 1, 2, and 3 classes and human data—recognition group—Experiment 2.

Model 1, 2, and 3 classes and human data—cue
group—Experiment 2.

Model 1&3 class and human data—recognition
group—Experiment 2.

Model 1&3 class and human data—cue group—Experiment 2.

Model 4 class and human data—recognition group
– Experiment 2.

Model 4 class and human data—cue group—Experiment 2.

Model 1&4.H class and human data—recognition
group—Experiment 2.

Model 1&4.H class and human data—cue group—Experiment 2.

Model 1&4.L class and human data—recognition
group—Experiment 2.

Model 1&4.L class and human data—cue group—Experiment 2.

Model 5 class and human data—recognition group
– Experiment 2.

Model 5 class and human data—cue group—Experiment 2.

Model 1&5.1 class and human data—recognition
group—Experiment 2.

Model 1&5.1 class and human data—cue group—Experiment 2.

Model 1&5.2 class and human data—recognition
group—Experiment 2.

Model 1&5.2 class and human data—cue group—Experiment 2.

Model 1&5.3 class and human data—recognition
group—Experiment 2.

Model 1&5.3 class and human data—cue
group—Experiment 2.

Below, we explain the race models in more detail. Recall, that the race models were generated by partially combining the Model 1, 3, 4, and 5 classes with each other, resulting in the Model 1&3, 1&4, and 1&5 classes. As all models, each race model exists in a version that uses positive and negative cues (PN in the model name) and a version that only uses positive cues (P in the model name). For simplicity, below we outline the PN versions. Note, however, that the P versions are identical to the PN versions, with the only difference being that the P versions cannot retrieve and use negative cues. Additionally, for each race model we implemented a version that assumes that retrieved cues will at times be forgotten (F in the model name). For simplicity, below we outline the versions of the models that do not forget cues. However, note that the forgetting versions are identical to the non-forgetting versions, with the only difference being that as soon as at least two cues have been retrieved, the forgetting process will be added to the race. If the forgetting process wins the race, all cues that have been retrieved up to that point will be “forgotten” and the race between responding with the recognized city and retrieving and encoding cues starts again. Finally, note that for each race, all processes that compete in the race have an equal likelihood to win the race (see Footnote 8 in the main text).
The 1&3 race Model class reflects the assumption that, while decisions will exclusively rely on recognition (as in Model 1), occasionally cues about the recognized city are retrieved (as in the Model 3 class). Figure C1 shows the different processes that race against each other at each possible step in the decision process of Model 1&3.PN. To illustrate this, assume Model 1&3.PN is presented with a pair of cities. After assessing recognition of the cities, a race between responding directly with the name of the recognized city (respond recognized) and retrieving and encoding one of the three cues (retrieve industry, airport, or soccer) takes place. This race is repeated either (a) until the model responds with the recognized city before all three cues are retrieved, or (b) until all three cues are retrieved and encoded and a decision is made in favor of the recognized city.
Illustration of the race between different processes
in Model 1&3.PN. As can be seen, the process to decide with the
recognized city races against the retrieval of not-yet-retrieved-cues
up to three times. Once all three cues have been retrieved, the
decision will be made in favor of the recognized city.

The race models of the Model 1&4 classes reflect the assumption that decisions can be based on recognition (as in Model 1), as well as on an implicit use of cues (as in the Model 4 class). Figure C2 shows the different processes that race against each other at each possible step in the decision process of Model 1&4.L.PN. In this model, the race between different processes is repeated either (a) until the model responds with the recognized city before all three cues are retrieved, or (b) until all three cues are retrieved and encoded and a decision is made in favor of the recognized city, or (c) until all three cues are retrieved and encoded and the model attempts to retrieve the big chunk. Once the process to retrieve the big chunk wins the race, the model’s decision will depend on the encoded cues via implicit, subsymbolic spreading activation.
Illustration of the race between different processes
in Model 1&4.L.PN. As can be seen, the process to decide with the
recognized city races against the retrieval of not-yet-retrieved-cues
up to three times. Once all three cues have been retrieved, the process
to decide with the recognized city races against the retrieval of
intuitive knowledge about the size of the recognized city (the big
chunk).

The race models of the Model 1&5 classes reflect the assumption that decisions can be based on recognition (as in Model 1), as well as on an explicit use of C cues, with C reflecting the decision criterion of the model (as in the Model 5 class). Figure C3 shows the different processes that race against each other at each possible step in the decision process of Model 1&5.1.PN, in trials where the model is able to retrieve a positive or negative cue value for the first cue. In such trials, the race between different processes is repeated either (a) until the model responds with the recognized city before the decision criterion of C = 1 is reached, or (b) until one positive or negative cue has been retrieved and encoded and a decision is made in favor of the recognized city, or (c) until one positive or negative cue has been retrieved and encoded and a decision is made based on the cue (i.e., either in favor of recognized cities in favor of unrecognized cities, depending on the retrieved cue). In trials where the value of the first retrieved cue is unknown, the race can continue until one positive or negative cue value has been retrieved. If the decision criterion cannot be reached after all cues were retrieved (i.e., in the 1&5.1 class this will happen if all three cue values are unknown), the model uses recognition as its best guess.
Illustration of the race between different processes
in Model 1&5.1.PN, in trials where the first retrieved cue is either
positive or negative. As can be seen, in such trials, the process to
decide with the recognized city races against the retrieval of the cues
once. If a cue is retrieved, the process to decide with the recognized
city races against the cue-based response.

Figure C4 shows the different processes that race against each other at each possible step in the decision process of Model 1&5.2.PN, in trials where the first two retrieved cues are either positive or negative. In such trials, the race is repeated either (a) until the model responds with the recognized city before the decision criterion of C = 2 is reached, or (b) until two positive or two negative cue have been retrieved and encoded and a decision is made in favor of the recognized city, or (c) until two positive or two negative cue have been retrieved and encoded and a decision is made based on the cues. In trials where the values of the first two cues are not both positive or negative, the race can continue until all three cues have been retrieved. If the decision criterion cannot be reached after all cues were retrieved, the model uses recognition as its best guess.
Illustration of the race between different processes
in Model 1&5.2.PN, in trials where the first two retrieved cues are
either positive or negative. As can be seen, in such trials, the
process to decide with the recognized city can race against the
retrieval of not-yet-retrieved-cues up to two times. Once two positive
or two negative cues have been retrieved, the process to decide with
the recognized city races against the cue-based response.

Figure C5 shows the different processes that race against each other at each possible step in the decision process of Model 1&5.3.PN, in trials where all three retrieved cues are either positive or negative. In such trials, the race is repeated either (a) until the model responds with the recognized city before the decision criterion of C = 3 is reached, or (b) until all three cues are retrieved and encoded and a decision is made in favor of the recognized city, or (c) until all three cues are retrieved and encoded and a decision is made based on the cues. In trials where the values of the three cues are not all positive or negative, the model cannot reach its decision criterion of C = 3 cues and will therefore use recognition as its best guess.
Illustration of the race between different processes
in Model 1&5.3.PN, in trials where all three cues of the recognized
city are either positive or negative. As can be seen, in such trials,
the process to decide with the recognized city can race against the
retrieval of not-yet-retrieved-cues up to three times. Once three
positive or three negative cues have been retrieved, the process to
decide with the recognized city races against the cue-based response.

This document was translated from LATEX by HEVEA.